01
SVPWM算法
电压空间矢量调制方法(SVPWM)是一种常用的PWM算法,和普通的正弦PWM方法不同,它是从电机的角度出发,把电机和逆变器看作一个整体考虑,不简单的从得到电压电流正弦出发,着眼于如何使电机获得幅值恒定的圆形旋转磁场,即正弦磁通。
下面将要介绍空间电压矢量调制技术的工作原理,要实现SVPWM,必须解决以下3个问题:
(1)如何选择电压矢量;
(2)如何确定每个电压矢量的作用时间;
(3)如何确定每个电压矢量的作用次序。
可以等效到电压空间矢量的作用,如下图所示,根据电压合成平均值等效原理有下式成立:


一个计算周期Ts的电压合成图
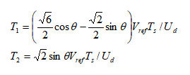
其中T0为零矢量的作用时间,把零矢量作用时间等分为2个零矢量。由电压矢量合成原理可得:

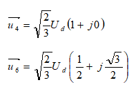
设参考电压矢量的空间位置与图示空间电压矢量U4夹角为θ,则参考电压矢量可表示为:

Vref为参考电压矢量的幅值。代入可以得到U4和U6的作用时间:

对于问题(3),各电压矢量的作用次序要遵守以下的原则:任意一次电压矢量的变化只能有一个桥臂的开关动作,表现在二进制矢量中意味着一次变化只能有一位变化。其原因在于如果允许有2个或3个桥臂同时动作,则在线电压的半周期内会出现反极性的电压脉冲,产生反向转矩,引起转矩脉动和电磁噪声。
典型的七段式空间电压矢量调制的产生结果如下图所示:

SVPWM一个周期调制信号
通过理论研究表明:空间电压矢量调制技术具有如下的优点:
输出电压比正弦波调制时提高15%,
谐波电流有效值的总和接近优化。
请大家阅读参考文献[1][2],都是这方面非常好的资料。
个人的看法,Space Vector(空间矢量)和Carrier-based(基于载波)的PWM更多的是分析和实现PWM的方法,而不是不同类型的PWM调制方法,详见参考文献[3],对此进行了详细的证明。

SVPWM的PWM开关信号
02
SVPWM算法的Simulink模型
在此选择基于载波的PWM实现方法,因为1/4三次谐波注入PWM与SVPWM几乎是一致的,因此其Simulink模型如下:

1/4三次谐波注入PWM的Simulink模型
仿真波形如下:




1/4三次谐波注入PWM仿真波形
关键字:永磁同步电机 SVPWM算法 Simulink模型
引用地址:
永磁同步电机控制系统仿真—SVPWM算法的Simulink模型
推荐阅读最新更新时间:2026-03-20 19:22
永磁同步电机控制系统仿真—最大转矩电流比
**最大转矩电流比 ** 最大转矩电流比(Maximum Torque per Ampere,MTPA)就是一种电机在不同的转速和转矩给定下,确定d轴电流和q轴电流给定值的方法,以保证电机的效率处于最优状态。 实际应用时有两种,一种是解析法,另一种是Look Up Table法。由于永磁同步电机参数的非线性,解析法在工程上不实用,但有助于理解和分析。Look Up Table法通过标定将解析方程和非线性参数转化为Look Up Table,更为实用和简单。 当永磁同步电机工作在线性调制区,且主要损耗为铜损耗时,MTPA点与最优效率点近似相等。在实际工程中,永磁同步电机不仅存在铜损耗,还存在铁损、涡流损耗、机械损耗等,特别是
[嵌入式]
在Matlab/Simulink中进行永磁同步电机流频比I/F控制系统的仿真分析
前言 本章节采用流频比I/F控制方法驱动永磁同步电机的转动,首先分析流频比I/F的控制原理,然后在Matlab/Simulink中进行永磁同步电机流频比I/F控制系统的仿真分析,为后续PMSM无感启动做铺垫。 一、流频比I/F控制原理 PMSM的恒压频比V/F控制是保持电机的电压和频率之比固定,即磁通为常数,既不需要转速闭环控制,也不需要进行电流采样,是一种完全的开环控制方式。V/F控制有两个明显的不足:不具备负载转矩匹配能力,转速容易产生振荡;最佳V/F曲线的整定比较困难,容易引起电机过电流。 相比于恒压频比V/F控制,流频比I/F控制是一种转速开环,电流闭环的控制方式,其无需保持电流幅值和频率的比值恒定,可依据负载转矩
[嵌入式]
Simulink中PMSM模型的改进在电机控制仿真中的工程应用
引言 近年来,随着电力电子技术和稀土永磁材料的快速发展,永磁同步电机(permanent magnet synchronous motor,PMSM)日益受到关注。目前,对于永磁同步电机的建模和仿真研究大多集中在控制算法上,这主要得利于Matlab Simulink库提供封装好的PMSM模块。但是,由于系统集成的PMSM模块的先天不足,不能满足贴近实际工况的仿真要求,如电机参数不可在线修改,反而给研究带来不便。 本文首先分析指出SIMULINK中集成PMSM模块的不足,然后在建立PMSM数学模型的基础上给出一种改进方法。根据某台电机的实际参数自定义PMSM模型,然后将其应用在变参数的系统中,并在实际电机台架进行测试
[嵌入式]
基于数学模型用Matlab-simulink进行建模仿真验证
近期对永磁同步电机(PMSM)的控制方法做了一些学习与总结,由于涉及的内容较多,打算分几篇笔记分享出来,主要是对SVPWM控制算法的理解和基于数学模型用Matlab-simulink进行建模仿真验证。 1、简介 目前国内外关于永磁同步电机的界定是根据定子电流波形对无刷直流电机(BLDCM)与永磁同步电机(PMSM)进行界定,将电流波形为梯形波或者方波的无刷电机定义为BLDCM,将电流波形为正弦波的无刷电机定义为 PMSM。 SVPWM(矢量脉宽调制)是目前对PMSM的一种控制策略,基本思想就是通过逆变桥的不同开关模式控制电机,使产生的电压/电流/磁链轨迹尽可能逼近理想圆,使得电机的运转具有比较理想的性能。 概念如图,当一个点在
[嵌入式]
SVPWM控算法的坐标变换
通过Clarke变换后所得到的α、β静止坐标系上的分量,我们要注意现在得到的还是正弦信号,既不是阶跃信号,也不是斜坡信号。 目前的主要控制方法是以PI控制器为主。然而PI控制器只能实现直流信号的无稳态误差的跟踪,当它跟踪正弦波信号时,必然出现不稳定的稳态误差。那么为了实现对α、β轴分量的无稳态误差控制,主要有两种方向: 一是设计一种能够对正弦波信号无稳态误差的控制器(明显有研究深度,较困难); 二是将正弦波信号转化为直流信号,从而可以继续采用PI控制器(难度降低); 显然我们的前辈对PI控制器的参数整定方法已经比较熟悉,因此采用第二种方式将一个新问题转为已解决的问题,可大大简化设计难题,于是Robert H. Park提
[嵌入式]
利用率达到100%的SVPWM控制算法介绍
1.概述: 在Part4中得到SPWM在理想情况下调制比为1,直流电压利用率为0.866即86.6%,电压利用率也不高,还有13.4%的母线电压没有利用到。本文学习介绍利用率达到100%的SVPWM控制算法。 2.SVPWM原理: SVPWM全称空间电压矢量PWM,是控制电压矢量使电机获得圆形旋转磁场。理想情况下调制比可以达到1.15。输出线电压就是母线电压。故直流利用率为1,即100%。更容易数字化控制,直流利用率比SPWM提高15%。在新能源行业有着广泛应用。 三相全桥拓扑有6个开关器件构成,对于每个桥臂上下管互补,因此有八种基本开关组合。构成了SVPWM的8个基本电压矢量。其中上管全开,和下管全开输出线电压为0,故有
[嵌入式]
基于分类算法的双三相感应电机SVPWM
传统的SVPWM算法,因其涉及较多的扇区判断、三角函数计算和平方根运算,其算法较为复杂。在此首先分析了基于分类算法的SVPWM的基本原理及其在计算效率上的优势。针对双三相感应电机控制的特点,提出基于分类算法的六相逆变器SVPWM控制算法,并进行了实验验证。实验结果验证了该控制算法的有效性。 1 引言
多相感应电机交流调速系统具有可靠性高、转矩脉动小、同等电压下功率更大等优点,是大功率交流变频调速的发展方向之一。双三相感应电机控制系统为其典型代表。传统的双三相感应电机SVPWM算法,因涉及较多的扇区判断、三角函数计算和平方根运算,其计算与实现较为复杂。为此,国内外学者研究了大量改进算法。其中,基于人工神经网络的分类算法已经应用在控
[嵌入式]
FPGA平台实现最小开关损耗的SVPWM算法
引言 脉冲调制技术(PWM)已被广泛应用于逆变器的设计当中,电压空间矢量调制技术(SVPWM)与SPWM相比,直流电压利用率提高了(15.4%),且利于数字化实现。本文介绍了一种基于不连续调制的SVPWM算法,可根据负载功率因子在不同扇区内灵活放置零电压矢量,与传统的连续调制SVPWM相比,在增加开关频率的同时减小了开关电流。仿真结果也表明这种方法有着最小的开关损耗。 现场可编程逻辑阵列FPGA是高集成度和高复杂度的可编程ASIC,具有设计灵活、开发周期短、可靠性高、纯硬件并行处理、不占用CPU资源等特点。本文以FPGA硬件平台来实现算法,采用硬件连线实现软件算法,实现真正的并行运算,这样可降低系统对MCU/DSP的
[嵌入式]