摘要:在各种输入设备中,电磁手写有着自身的不可替代的优势,专业绘画,各种签名等应用场景中更是独占市场,由于成本较低,在教育,智能输入等领域的普及,这些年来更得到了快速的发展,随着电磁手写的发展,要求也随之提升,针对此问题,本文用一个量化的电磁学理论,结合今些年电磁手写的实际应用分析,推导出量化的公式,为电磁手写领域的开发者提供了一个解决其性能的根本途径。
近些年来,作为向计算机输入数据和信息的设备——输入设备有了很快的发展,他们是计算机与用户或其他设备通信的桥梁。作为输入设备是用户和计算机系统之间进行信息交换的主要装置之一。键盘,鼠标,摄像头,扫描仪,光笔,电磁手写输入板,游戏杆,语音输入装置等都属于输入设备。输入设备是人或外部与计算机进行交互的一种装置,用于把原始数据和处理这些数的程序输入到计算机中。基于此要求,讨论了电磁手写设备中电磁感应理论在电磁笔中的应用。
1 电磁笔手写系统介绍

图 1 笔线圈收到电磁手写板天线发射的信号后产生谐振反馈到手写板天线,MCU ADC 读的数据,分析笔的位置。
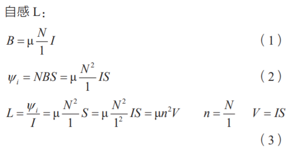
2 电磁笔线圈自感的计算
电磁场在手写设备中将其模型化,其应用可简单划分为两个场景,即手写设备包括笔磁场(笔线圈磁场)和手写板磁场(手写板通电线圈的磁场),现在讨论前者,这样先简化其场景,假设笔线圈为长度为l的螺旋管,如下图,感应电流为 I,笔的横截面为 S,线圈匝数为 N, 自感为 L :


对于笔的情况:
①提高笔线圈单位长度密度 n;
②提高磁导率 μ;
③加大线圈体积 V.
3 电磁笔线圈的磁感应强度计算



此试则分析了笔的磁场与笔各部分组成:电感量,笔倾角,线圈匝数,线圈半径等之间的关系,为笔的设计提供了一个理论依据。
4 结语
电磁手写笔线圈感应到手写天线的磁感应强度与倾角有一定关系,可将式(1)的 N,L,μ0 等常数归一化为一个常数,即可得到该坐标点的磁场强度和角度的关系,从而量化的分析手写板任意坐标点与磁场强度的关系,当设计者让磁场强度为恒定值,从这个公式可以得到坐标和线圈电流的关系,线圈电流即可以转换为手写板接收到的信号幅度,从而让我们开发者将电磁手写得到一个理论的量化分析。
参考文献:
[1] 谢处方,饶克谨.电磁场与电磁波[M].4版.北京:高等教育出版社.
[2] 珀塞尔.电磁学[M].北京:高等教育出版社.
[3] 刘雅洁,朱宁.圆线圈及亥姆霍兹线圈的磁场分布[J].嘉兴学院学报,2004,16(3):47-50.
[4] 赵凯华.电磁学[M].北京:高等教育出版社.
上一篇:现代电机设计可改进便携式真空吸尘器
下一篇:LPS音频功放选型及其在IPC的应用
推荐阅读最新更新时间:2026-03-11 11:53
- 边缘计算主机盒选购指南:五大核心指标解析
- Arm AGI CPU 更多细节:台积电 3nm 制程、Neoverse V3 微架构
- Arm AGI CPU 重磅发布:构筑代理式 AI 云时代的芯片基石
- Arm 拓展其计算平台矩阵,首次跨足芯片产品
- 阿里达摩院发布RISC-V CPU玄铁C950,首次原生支持千亿参数大模型
- 边缘 AI 加速的 Arm® Cortex® ‑M0+ MCU 如何为电子产品注入更强智能
- 阿里达摩院发布玄铁C950,打破全球RISC-V CPU性能纪录
- VPU中的“六边形战士”:安谋科技Arm China发布“玲珑”V560/V760 VPU IP
- 利用锚定可信平台模块(TPM)的FPGA构建人形机器人安全
- 用于有线网络的 400V 交流转直流单输出电源
- 具有集成升压和捕捉二极管的 LT3470ITS8 微功率降压稳压器的典型应用电路
- LT6656BIDC-2.048、2.048V ADC 电压基准和桥式励磁电源的典型应用
- LT6656BIDC-2.048、2.048V 低功率精密高压电源监视器的典型应用
- 具有 BFU730F 应用电路的 2.4 - 5.9GHz 宽带 Wi-Fi LNA
- AD5302 双路 8 位缓冲数模转换器的典型应用
- TWR-KV46F150M,用于 MKV46F256 Kinetis KV4x 系列 MCU 的塔式系统模块
- LTC3622IMSE 5V/3.3V Vout 突发模式操作应用同步降压稳压器的典型应用电路
- S8VS-09024A 24V/90W AC/DC电源典型应用
- 使用 ON Semiconductor 的 KA7809E 的参考设计

三相电压型逆变器MATLAB
ffmpeg基础库编程开发_20140307
使用STM32与ESP32制作的智能家居中控屏
非常经典的关于LLC的杨波博士论文
ASM10DTBD-S664






京公网安备 11010802033920号