摘要
对安全至关重要的高级驾驶辅助系统(ADAS)预计将受益于蜂窝式车对车通信,在车辆和道路/网络基础设施设备之间提供短距离和长距离无线连接。 然而,在属于不同网络运营商的相邻覆盖区之间切换时,无线连接可能会被中断。这个问题阻碍了网络服务的连续性,导致ADAS服务的可用性中断。在本文中,我们旨在评估由于这种网络重新选择程序导致的服务中断的平均时间。我们提供了性能评估结果,强调在最佳情况和最坏情况之间存在很大差距。此外,我们提出了一个简单的启发式方法来限制网络运营商之间缺乏合作的弊端;我们的启发式算法,不需要操作者之间的紧密结合,表现比最坏的情况好得多,它与最佳情况相当。然而,目前的工作强调了网络运营商之间更紧密的整合的重要性,以将延迟降到最低。
I.简介
汽车垂直市场对互联和自动驾驶的需求不断增加,这将促进新的运输模式[1]并提高司机的安全[2]。为了实现这一目标,必须普遍采用先进的驾驶辅助系统(ADAS),利用各种车内传感器和无线链路 用于车辆间的互动,以增强对周围和未来环境的感知。
目前的ADAS主要基于车对车通信(如协同环境地图重建)和车对基础设施通信(如与交通灯通信或与提供交通信息的路边单元通信)。然而,人们普遍认为,这种基于ITS-G5或PC5无线接入技术(RAT)的短程链路不足以实现高自动化水平,如汽车工程师学会(SAE)的4级和5级。
事实上,ADAS的普遍采用不能撇开第四代(4G)和第五代(5G)蜂窝网络所提供的长距离无线连接。这一趋势也得到了5G汽车协会(5GAA)的支持,该协会成立于2016年,旨在汇集汽车和电信行业,加速部署与5G系统集成的智能交通系统,从而提供有效的蜂窝式车辆到一切(C- V2X)通信技术[3]。
支持C-V2X的ADAS有望通过增加Uu接口作为PC5的额外通信接口来提高弹性,并通过5G新无线电(NR)的进步来减少延迟。此外,边缘计算平台可以被用来运行集中式ADAS应用,以实现对道路环境更广泛的感知。
相反,远程蜂窝连接仍然存在弱点,正如三个活跃的ICT-18欧洲项目1所显示的那样,这些项目调查了高速公路沿线跨国界的服务连续性问题。例如,5G-CARMEN一直在研究如何实现合作车道合并(CLM),作为跨境场景中安全和延迟关键的ADAS操纵,其中CLM服务的可用性受到不可忽视的连接漏洞的限制。这个问题是由移动网络运营商(MNOs)之间在支持车辆用户从自己的公共陆地移动网络(PLMN)切换到下一个网络时整合不力造成的。这个问题的一个简单的解决方案可能是切换到短程通信;然而,值得注意的是,通信可靠性的降低可能会导致允许的车辆自动化水平下降,可能需要司机推翻车辆控制,切换到手动模式。
在传统的基本漫游场景中,主要的延迟组成部分是缺乏关于网络重选参数的先验信息,这迫使移动站(MS)在能够在被访问的国家找到合适的小区之前扫描整个频谱。MNO之间更严格的漫游协议(例如,宣布彼此为等效的PLMN(E-PLMN))和/或核心网络中额外的漫游接口(例如,两个MNO的移动管理实体(MME)实例之间)将使特定的信令指示在扫描过程中协助MS,甚至使(PLMN之间)S1移交,从而将连接中断时间减少到100毫秒[4] 。
然而,这些方法将以增加移动网络运营商方面的实施努力为代价。然而,值得注意的是,网络重新选择的标准程序的各种特征是取决于实施的,因此有空间设计算法来探索频谱,利用不同程度的先验信息,这取决于移动网络运营商的整合水平。
在本文中,我们将忽略移动网络运营商之间最紧密的整合方案,即S1切换,因为它需要移动网络运营商太多的实施努力,相反,我们将重点评估由于网络重新选择程序导致的服务中断。提出了一个简单的启发式方法,旨在减少频率扫描的时间,并与最坏的情况(即由终端进行完整的频率扫描)和最好的情况(即指示要搜索的频率)进行比较。
本文的其余部分组织如下。在第二节中,我们概述了问题陈述,在第三节中,我们推导出默认网络重新选择程序的简单数学模型,以及所提出的启发式方法。在第四节中,我们量化了各种程序所带来的延迟,为进一步的可能解决方案提供了提示。最后,在第五节中,我们得出了结论,并描述了这项初步工作的扩展计划。为了方便读者,我们在附录中提供了首字母缩写的清单。
II.场景设定
A. 参考场景
让我们考虑一个汽车场景,在这个场景中,一个车辆MS需要从它的服务小区切换到下一个小区(切换),因为它的移动模式和/或即将到来的用户PLMN的无线接入网络(RAN)的覆盖范围。MS需要从它的服务小区切换到下一个小区(切换),因为它的移动模式和/或用户的PLMN(即它的家庭PLMN(H-PLMN))的无线接入网络(RAN)即将缺乏覆盖。我们想说的是,特别是在ADAS的安全相关应用的情况下,例如,CLM操纵,应尽可能地保持服务的连续性,防止可能影响应用本身的有效性的中断,从而影响乘客的安全。
虽然在同一MNO的两个小区之间的切换已经进行了大量的工作[5]-[7],但最具挑战性的情况需要在不同MNO拥有的小区之间切换,也就是漫游情况。请注意,这种情况既可能发生在跨境部署中,即车辆从一个国家到另一个国家,也可能发生在同一国家,即H-PLMN的无线电覆盖不足以提供足够的服务质量(QoS)水平。在PLMN之间切换时的主要问题是,由于小区搜索和选择,所设置的空闲模式移动程序很耗时[8]。将服务中断减少到零的直接解决方案包括为车辆提供多个用户身份模块(SIM),使MS总是连接到至少一个PLMN。

图1. 4G 3GPP系统中网络重新选择程序的简化状态机
显然,这种方法没有规模:有多少SIM卡就有多少国家MNO或被访国家的MNO的数量,这是不合理的。因此,这不能被认为是一个可行的解决方案,我们应该诉诸于标准程序来执行所谓的网络重新选择。
B. 审查网络重新选择的标准程序
现在我们将对第三代合作伙伴计划(3GPP)蜂窝系统的网络重新选择程序进行总结。由于在撰写本文时,大多数蜂窝网络的部署都是基于4G长期演进(LTE)标准[9],在下文中,我们将参考LTE的技术规范,同时牢记非常类似的程序也是为5G NR标准设计。
网络重新选择过程涉及协议栈的非接入层(NAS)和接入层(AS)层的互动[10,§4.2]。具体来说,NAS负责PLMN的选择,而AS则负责小区的选择和重新选择。一旦MS决定在所选小区的跟踪区域内登记其存在,NAS和AS都将负责位置登记。这三个任务之间的相互作用在图1中显示。
在本文中,我们将主要关注前两项任务,即PLMN选择和小区选择/重新选择。无线电小区与一个载波相关联,该载波由i)载波中心频率和ii)信道带宽定义[11]。一个MS在遇到覆盖中断时进行小区选择,而当它处于无线电资源控制(RRC)空闲模式时则进行小区重新选择[9]。在这两种情况下,MS试图找到一个合适的小区,即属于H-PLMN或E-PLMN的小区,根据基于无线电信道质量测量的明确定义的小区选择/重新选择标准来进行营建[10]。
如果在任何载波中心频率上都没有找到合适的小区,MS应该尝试寻找一个可接受的小区,即不属于H-PLMN或E-PLMN的小区[10]。除了合适的和可接受的小区外,保留的小区以及被禁止的小区对车辆MS能够操作的频谱范围内可用小区的总计数有贡献。
为了了解一个小区是否合适或可接受,MS解码可用小区所宣传的系统信息。小区公布的PLMN身份(ID)和RAT的组合被MS自动或手动认为是合适的或可接受的;在下文中,我们将只考虑前一种模式,从自主汽车应用的角度来看,这种模式更合理。按照[12],自动PLMN选择标准是由NAS层建立的,它持有一个按优先顺序排列的PLMN ID列表:最高优先级是H-PLMN,然后是E-PLMN,最后是其他PLMN,一旦被选中,将只是一个被访问的PLMN(V-PLMN)。
C. 我们的贡献
科学文献[13]-[15]和专利文献[16]-[18]中的相关工作都集中在对默认网络重新选择程序和相关参数设置提出改进。在本文中,我们的目标是评估在网络重选延迟D方面,最佳情况和最差情况之间的差距,即:
● 方法#1:明确指示--MS被H-PLMN的RRC层强制从连接状态转到空闲状态,状态转换信息为其提供必要的(先验的)信息,以选择覆盖下一个跟踪区域的合适小区;
● 方法#2:彻底搜索——MS从无线电覆盖中断中恢复,因此它不知道有关周围单元的任何信息。在这种情况下,MS必须扫描所有可用的载波中心频率,然后再挑选出最佳的合适/可接受的小区。
显然,前一种方法使网络重选延迟最小,而后一种方法提供了这种延迟的上限。然而,由于网络重新选择的几个方面通常是留给实施的[10],[12],我们将展示一个简单的启发式方法如何在方法1和方法2之间提供一个中间性能。所提出的启发式定义如下:
● 方法#3:搜索直到第一次成功--MS一旦发现合适的小区的第一个实例,就会停止小区搜索。
为了评估这些方法,我们将考虑一个现实的频率规划,同时我们忽略了对无线电链路质量和位置登记的测量。
III.系统模型
在本节中,我们提供了上述三种网络重选方法所提供的网络重选延迟D的数学特征。
A. 定义
我们定义了以下参数。
● N是E-UTRAN绝对射频信道数(EARFCN)的总量,可供MS测试。我们有

其中I是所考虑的演进式通用地面无线电接入(E-UTRA)工作频段的数量,ni是第i个频段要测试的EARFCN的数量。
● M是实际分配给可用单元的EARFCN指数的数量。我们有

其中mi是在第i个频段分配的EARFCN的数量;
● τ是MS解调和(最终)解码一个可用小区的系统信息所需的处理时间。
B. 数学模型
对于方法#1,MS必须只扫描由RRC指示的载体,因此

对于方法#2,MS必须扫描整个频谱,在实际注册到最佳单元之前,按降序排列合适的单元。扫描过程需要进行N次频率扫描,再加上对所选单元的一次最终扫描,得出的结果是

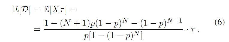
最后,对于方法#3,持续时间τ的频率扫描必须重复一个随机次数X。这个随机变量代表了MS实际找到第一个合适小区之前的时间。因此,X可以被建模为一个截断的几何随机变量,其中

其中,p是当前EARFCN与合适单元相关联的概率。因此,网络重选延迟平均来说,

C. N和p的分析性表达
N和p的实际值取决于MS可以工作的频谱的具体频率规划,即分配的载波中心频率和信道带宽[11]。在一个给定的E-UTRA工作频段中,每个可能的载波中心频率都由一个EARFCN指数来识别

并对应于100kHz的整数倍。相应的下行链路载波频率(以MHz为单位)可按以下方式得出:

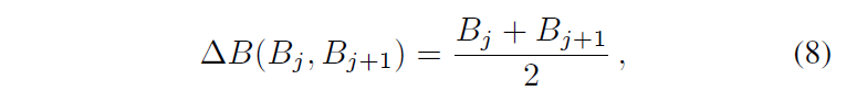
其中 νL() 是下行EARFCN指数, FDL low 和 νOffs-DL 在[11,表5.7.3-1]中给出。一个类似的方程适用于上行载波频率。两个相邻载波之间的标称信道间距定义为

其中 Bj 是第j个载波的带宽,以MHz表示。我们注意到,N的正确值是通过从特定工作频段的候选EARFCN指数总数中减去实际利用的指数和检测到有效指数后的最小带宽占用而得到的。具体来说,对于每个分配的 ν 我们必须排除所有包含在当前载波和一个(假定的)具有最小带宽的相邻载波之间的名义信道间隔中的指数,也就是说,

关于p,在这项工作中,我们假设在工作频段内找到合适小区的概率是均匀的。因此,p可以按以下方式计算:

IV.绩效评估
在本节中,我们提供了一些基于现实网络部署的平均网络重选延迟的数值结果。
A. 评估参数
如同在[8]中所做的,我们考虑意大利的信道分配情况,LTE系统通常部署在三个E-UTRA工作频段,即#3、#7和#20,产生I=3。各个PLMNs在这些频谱部分的完整频率分配可以通过利用[19]提供的关于实际载波分配的信息得出,并在表I中报告。
我们可以看到,m1 = m2= 5,而m3 = 3,总体上M =13分配的EARFCN。请注意,我们忽略了可能存在的属于虚拟MNO的可用单元,这些单元可能与MNO运营商有关。第i个工作频段的EARFCN指数的数量为


图2. 在给定5个可用单元的情况下,以采集时间单位(τ)表示的网络重选延迟←与合适单元的数量
其中,B是LTE系统中可用带宽的集合[8,表一],kB是第i个频段中带宽为B的分配载波数量。系数10是由于表示带宽的MHz单位(106)和EARFCN间隔100kHz(105)之间的划分。
例如,让我们考虑E-UTRA工作频段#3(i = 1)。我们在这个频段有1949-1200+1=750个指数,有5个PLMN ID;其中3个分配了Bj=20MHz的带宽(k20=3),2个分配了Bj=10MHz的带宽(k10=2),还有一个分配了Bj=5MHz的带宽(k5=1)。因此,考虑到最小信道带宽为Bmin = 1.4MHz [8],
每个20MHz宽的载波排除了∆Bmin(20)=21.4/2=10.7MHz,也就是说,107-2=105个EARFCN指数;
每个10兆赫宽的载波不包括 ∆Bmin (10) =11.4/2=5.7MHz,也就是说,57-2=55个EARFCN指数;
the 5-MHz-wide carrierexcludes ∆Bmin (5) = 6.4/2 =3.2 MHz, that is, 32 - 2 =30 EARFCN indices.
因此,原来的750个指数集减少了3×105+2 x 55 + 30 = 455,得出EARFCN n1=295的实际数量。表I中报告了i e {1, 2, 3}的ni的值。
最后,为了保持网络重选延迟与具体的MS硬件无关[8],我们不提供常数τ的明确值,而是用采集时间单位来表示延迟。
B. 数值结果
图2提供了数值结果;网络重选延迟以τ单位表示。我们可以做出以下观察。

方法3(搜索到第一次成功)引入的平均延迟比最坏的情况(方法2--详尽搜索)更接近于基准(方法1--明确指示)。特别是,相对于方法2,方法3提供了一个>70%的延迟减少。
方法#3引入的平均延迟随着合适单元数量的增加而减少。就τ单位而言,在单个合适的单元和所有可用单元都合适的情况下,延迟减少约为60%。
C. 备注
我们注意到,在像本文所考虑的典型频率分配中,在网络重新选择的最佳情况(方法1)和最差情况(方法2)之间会出现很大的差距。造成这种差距的原因是MNO之间缺乏整合,这导致MS在注册到新的PLMN之前要进行大量的尝试来找到一个合适的/可接受的小区,特别是在MS必须扫描大的频谱部分的情况下。
在扩展漫游协议方面,MNOs之间更紧密的整合,为MS提供一个长的E-PLMN列表,将允许减少网络重新选择的延迟。这种有益的效果在我们的性能评估结果中很明显:如果所有可用的小区都变得合适(即它们的PLMN ID在H-PLMN提供的E-PLMN列表中),那么p - M/N,因此它是最大化的。我们注意到,方法#3所要求的整合并不像方法#1那样需要传输临时的RRC信令信息,因此导致了较轻的实施工作。
V.总结
在本文中,我们推导出一个数学模型来评估执行网络重新选择程序的平均延迟,这可能会严重影响服务的连续性,从而影响ADAS在某些关键场景下的应用,例如,跨境环境。
性能评估结果表明,在所考虑的情况下,最佳情况(表示为方法1--明确指示)和最差情况(表示为方法2--穷举搜索)之间存在很大差距。我们提供了一个简单的启发式方法来填补这一空白,显示了移动网络运营商之间的合作对减少网络重选的积极影响。至于未来的工作,我们计划通过包括基于实际无线电链路质量的小区选择/重新选择标准来扩展所提出的模型,考虑到现实的跨境无线电环境。此外,利用这样一个扩展的模型,我们将设计新的网络重选解决方案。
缩略词

上一篇:人机共驾时代,我们需要什么样的座舱监测系统
下一篇:ZONAL区域架构:成就未来汽车梦想
推荐阅读最新更新时间:2026-03-20 12:19
- 边缘计算主机盒选购指南:五大核心指标解析
- Arm AGI CPU 更多细节:台积电 3nm 制程、Neoverse V3 微架构
- Arm AGI CPU 重磅发布:构筑代理式 AI 云时代的芯片基石
- Arm 拓展其计算平台矩阵,首次跨足芯片产品
- 阿里达摩院发布RISC-V CPU玄铁C950,首次原生支持千亿参数大模型
- 边缘 AI 加速的 Arm® Cortex® ‑M0+ MCU 如何为电子产品注入更强智能
- 阿里达摩院发布玄铁C950,打破全球RISC-V CPU性能纪录
- VPU中的“六边形战士”:安谋科技Arm China发布“玲珑”V560/V760 VPU IP
- 利用锚定可信平台模块(TPM)的FPGA构建人形机器人安全
- 使用 ON Semiconductor 的 FAN2518S 的参考设计
- LTC1530S8、3.3V/3A 稳压器
- 使用 ON Semiconductor 的 ADP3167 的参考设计
- 使用 Analog Devices 的 LT3420EDD 的参考设计
- 基于Kinetis® M的低成本单相电表参考设计
- LTC3708、具有上升/下降轨跟踪功能的 2.5V/15A 和 1.2V/15A 稳压器
- NXQ1TXH5插件板
- 应变仪仪表放大器
- WRL-13287,基于 ESP8266 802.11 无线局域网的 SparkFun Wi-Fi Shield
- 4.1W、3-LED 通用 LED 照明驱动器

智能汽车传感器技术详解(357页PPT)
现代雷达系统的信号设计
BFR340T






京公网安备 11010802033920号