Capstone的一款CS5203是不带HDCP KEY的HDMI转VGA转换芯片CS5203 ,它与CS5213的区别在于CS5213芯片集成片上HDCP 1.4 KEY,支持符合HDCP 1.4规范。
下面详细介绍一下CS5203的功能与参数特性
Capstone CS5203 HDMI到VGA转换器结合了HDMI输入接口和模拟RGB DAC输出。通过支持和片上音频DAC,它节省了成本并优化了板空间。嵌入式MCU基于工业标准8051内核。
CS5203适用于多种细分市场和显示应用,例如主板、桌面、dongle和对接系统。
CS5203详细的功能概述和参数特性:
符合HDMI1.4标准的接收机
VGA输出接口,DAC速度高达200 MHz像素速率,8位
视频分辨率支持高达1920*1200@60and 1920*1080@60Hz
内置振荡器,无需外部晶体
嵌入式线性衰减调节器(LDO)
嵌入式微控制器
嵌入式EDID(如果终端没有EDID,CS5203将响应EDID)
使用内部预设置ROM支持EEPROM Free模式
支持VGA连接检测
内部通电复位(POR)
双通道16位分辨率∑-ΔDAC
支持音频采样频率(Fs):最高48Khz
I2C从机接口和HDMI DDC接口可用于调试
QFN34 4*4包装
HDMI数字输入
符合HDMI1.4
内置高性能自适应均衡器
支持热插拔检测
VGA输出接口
时钟高达200-MHZ的三个8位DAC数模转换器
视频分辨率支持高达1920*1200@60and 1920*1080@60Hz
嵌入式V-sync/H-sync 5V缓冲器
符合VESA VSIS V1R2
嵌入式微控制器
工业标准8051芯
支持I2C主设备和从设备,最高400 Khz
电力与技术
CS5203的管脚配置如下:
CS5203管脚配置
CS5203管脚说明:
CS5203管脚说明-1

接口和能力
Hdmi输入符合Hdmi 1.4b标准
DDC_SCL和DDC_SDA信号用于访问EDID。由于这些信号上的上拉电阻已集成到芯片中,因此不再需要外部上拉电阻。
模拟VGA输出
CS5203集成了三个8位-250Mhz-DAC(数模转换器),每个DAC
为其他颜色R(红色)、G(绿色)、B(蓝色)分配。CS5203的模拟VGA接口与VESA VSIS VIR2兼容CS5203还集成了实时热插拔检测机制
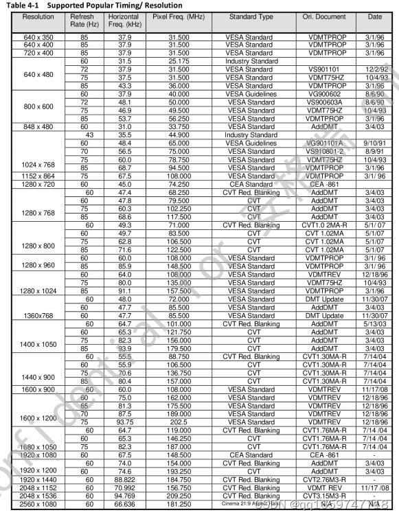
CS5203支持的最流行视频格式如下表4所示
然而,CS5203支持的格式不限于此表
CS5203还支持低于最大带宽的数据传输带宽、低于最大DAC速度200MHz的像素频率。
关键字:音频输出
引用地址:
无HCDP功能的HDMI转VGA带音频输出方案CS5203| CS5203设计资料
推荐阅读最新更新时间:2026-03-20 01:43
STM32CubeMX学习笔记(21)——DAC接口使用(输出模拟音频波形)
一、DAC简介 DAC(Digital-to-Analog Converter),即数字/模拟转换模块,故名思议,它的作用就是把输入的数字编码,转换成对应的模拟电压输出,它的功能与 ADC 相反。在常见的数字信号系统中,大部分传感器信号被化成电压信号,而 ADC 把电压模拟信号转换成易于计算机存储、处理的数字编码,由计算机处理完成后,再由 DAC 输出电压模拟信号,该电压模拟信号常用来驱动某些执行器件,使人类易于感知。如音频信号的采集及还原就是这样一个过程。 STM32 具有片上 DAC 外设,它的分辨率可配置为 8 位或 12 位的数字输入信号,具有两个 DAC 输出通道,这两个通道互不影响,每个通道都可以使用 DMA 功能,
[单片机]
语音模块音频输出噪音不良原因及失效机理分析
实际使用中反馈麦克风或音箱出现不同程度的沙沙声,对语音模块电路分析音频输出信号出现噪音导致。经过对语音模块电路分析、系统软件分析及模拟验证分析,确认为语音模块存在设计缺陷,时钟频率在高频状态下电压margin 存在不足,导致音频信号错乱而出现喇叭“沙沙声”。通过对语音模块软件设计降低时钟频率及检测方法的完善,提升语音模块整体使用的可靠性。 引言 人机交互模式操控平台各种各样,其作用主要实现人与机器的交流,靠设备的输入输出和软件的流程控制来完成人机交互功能。家用电器中空调实现人机交互的设备主要为遥控器、手操器、触控屏等装置,随着计算机技术的不断发展,人们的需求在不断的增加,需要操控的功能也越来越强,如播放流行歌曲、当前的天气状态
[嵌入式]
单片机STC5A60S2完成音频采集与输出
.c文件(主程序): /*-------------------------------------------------------------------*/ //一般说明 //使用的单片机为STC5A60S2,外接晶振32.768M //采用受用单片机自带的AD,单片机自带的PWM做DA输出使用 //两个按键一个控制录音,一个控制输出,上电默认状态为实时输出 //外接RAM采用62256 /*-------------------------------------------------------------------*/ #include reg51.h #include intrins.h #include AD.
[单片机]
MOSFET音频输出级的自偏压电路
·栅极阈值电压变化与VGS温度系数变化引起的MOSFET与双极管间相对温度系数的失配。 ·输出器件与检测器件间耦合的延迟与衰减。 ·驱动器工作在不同的温度。 ·调整单个放大器偏压时存在误差。 ·老化引起的阈值电压长期漂移。 鉴于上述原因,自然想用控制环来替代VBE放大器,前者基于偏置电流本身的反馈;而后者只是一种误差反馈。新设计由下列三部分构成;偏置电流检测器、隔离器和积分器,下面详细地介绍各个电路的工作原理(参见图1)。 偏流检测器 偏流检测器的目的是测相对于正常偏置的任何变化而不影响输出管的电流分配,也就是说,与输出到负载(RL)的电流无关。实现的方法是:检测输出级源电阻上电压,并将它
[电源管理]
MOSFET音频输出级的自偏压电路
·栅极阈值电压变化与VGS温度系数变化引起的MOSFET与双极管间相对温度系数的失配。 ·输出器件与检测器件间耦合的延迟与衰减。 · 驱动 器工作在不同的温度。 ·调整单个放大器偏压时存在误差。 ·老化引起的阈值电压长期漂移。 鉴于上述原因,自然想用 控制 环来替代VBE放大器,前者基于偏置电流本身的反馈;而后者只是一种误差反馈。新设计由下列三部分构成;偏置电流检测器、隔离器和积分器,下面详细地介绍各个 电路 的工作原理(参见图1)。 偏流检测器 偏流检测器的目的是测相对于正常偏置的任何变化而不影响输出管的电流分配,也就是说,与输出到负载(RL)的电流无关。实现的方法是:检测输出级源 电阻
[模拟电子]
如何消除音频输出端的喀嗒声
喀嗒声指恼人的音频瞬态噪声,在耳机放大器打开或关闭时由耳机产生。通过去掉传统耳机放大器输出端的隔直电容,美信公司的DirectDrive专利技术可去除喀嗒声,同时提供更好的低频响应。本文先阐述DirectDrive原理,如何工作以及带来的优点。然后介绍一个在手机等便携设备上已验证的去除耳机喀嗒声的方法。
便携音频产品的差异化一直是个热门话题。什么特点能让产品A相比竞争产品B更出色?通常的音频指标(频响平坦度、总谐波失真加噪声值等)都如此相似以至于难分胜负。用户界面当然是有明显差异,但这往往带有太多的主观性。我们希望有一个客观的音频指标,它可以帮助产品脱颖而出。
耳机打开或关闭时的喀嗒声就是一个重要且客观的音频指标。随
[模拟电子]
意法半导体(ST)推出尺寸紧凑的三路输出总线控制式手机音频功率放大器解决方案
单片音频系统在立体声耳机驱动器的基础上增加了扬声器和免提电话输出, 以及 I 2 C 接口和保护功能 中国 ,2006年11月6日 — 全球手机音频解决方案的领导者 意法半导体(纽约证券交易所代码: STM) ,日前推出一个尺寸紧凑的立体声耳机和扬声器二合一的驱动器芯片,新产品内置一个灵活的 I 2 C 总线控制接口,目标应用为手机、 PDA 和笔记本电脑。新产品 TS4956 采用 2.5x2.4mm 倒装片无铅封装,在 3.3V 电源电压下,可以向一个 16 Ω 的耳机负载输入每声道最高 38mW 的连续平均功率,或者向一个 8 Ω 的扬声器负载输入每声道最高 450mW 的连续平均功率。
[新品]
多媒体音箱的连接方法_多媒体音箱怎么用
多媒体音箱的连接方法 1、把红色线小音箱的插头插入主音箱的右声道红色音频输出孔(正常情况都是红右、白左)。 2、把白色线小音箱的插头插入主音箱的左声道白色音频输出孔(正常情况都是红右、白左)。 3、接着把连接线红色音频输入插头,插入红色音频输入孔。 4、然后把连接线白色音频输入插头,插入白色音频输入孔。 5、最后把连接线另一头黑色的插头插入机箱后面绿色插孔,就连接完成了。 多媒体音箱怎么用 每个品牌的多媒体音箱使用说明都会有些不同 1、音频输入选择:需要外配音频线连接音源。 2、将音频旋钮于最小位置,打开电源,按需要调节音量及其它旋钮即可。 3、插SD卡或U盘时,读其相应存储器内部的MP
[嵌入式]