什么是梯形加减速
如下图所示,假设该装置使用步进电机实现物体X的移动,系统要求物体X从A点出发,到B点停止,移动的时间越短越好且系统稳定。

使用梯形加减速
OA段为滑块的加速部分、AB则是匀速部分,BC则是减速部分。因其图像呈现梯形,所以我们把这种运动变化称之为梯形加减速

使用加减速的理由
为什么要使用加减速呢?步进电机有一个很重要的技术参数:空载启动频率,也就是在没有负载的情况下能够正常启动的最大脉冲频率,如果脉冲频率大于该值,步进电机则不能够正常启动,发生丢步或者堵转的情况;或者也可以理解为由于步进脉冲变化过快,转子由于惯性的作用跟不上电信号的变化。所以要使用加减速来解决启动频率低的问题,在启动时使用较低的脉冲频率,然后逐渐的加快频率。
梯形加减速算法特点

梯形加减速一共分为三个阶段,OA 加速部分、AB 匀速部分 和 BC 减速部分。在 OA 加速过程中,由低于步进电机的启动频率开始启动(模型中由 0 启动),以固定的加速度增加速度到目标值;在 AB 匀速过程中,以最大速度匀速运动;在 BC 减速部分中,以加速度不变的速度递减到 0;这种算法是一种在加速过程和减速过程中加速度不变的匀变速控制算法,由于速度变化的曲线有折点,所以在启动、停止、匀速段中很容易产生冲击和振动。
算法基础


梯形算法要求的变量





6、在一个电机匀加速到一定速度,再匀减速的情况下,如下图:

从0加速再减速到0的速度示意图

7、求加减速步数
对于步进电机加减速阶段来说,由于已经设定好了步进电机加速度、减速度、最大速度和总运行步数,所以说一共分为2种情况:
(1)电机能够加速到给定的最大速度,匀速运行一段时间后,再减速到0

电机加速到给定speed再减速的示意图

(2)由于运动距离过短,电机无法加速到最大速度即开始减速:

电机无法加速到给定speed就减速的示意图

通过以上推导,我们求出了梯形算法要求的所有变量。
算法优化 由于算法在计算过程中涉及到一些浮点型运算,大量的浮点型运算会使得效率大大降低,为了使得计算速度得到更好的优化,我们做如下优化:

关键字:步进电机 控制算法
引用地址:
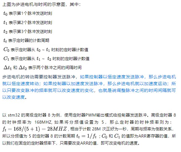
什么是梯形加减速?步进电机控制算法—梯形加减速运动算法
推荐阅读最新更新时间:2026-03-25 02:21
什么是梯形加减速?步进电机控制算法—梯形加减速运动算法
什么是梯形加减速 如下图所示,假设该装置使用步进电机实现物体X的移动,系统要求物体X从A点出发,到B点停止,移动的时间越短越好且系统稳定。 使用梯形加减速 OA段为滑块的加速部分、AB则是匀速部分,BC则是减速部分。因其图像呈现梯形,所以我们把这种运动变化称之为梯形加减速 使用加减速的理由 为什么要使用加减速呢?步进电机有一个很重要的技术参数:空载启动频率,也就是在没有负载的情况下能够正常启动的最大脉冲频率,如果脉冲频率大于该值,步进电机则不能够正常启动,发生丢步或者堵转的情况;或者也可以理解为由于步进脉冲变化过快,转子由于惯性的作用跟不上电信号的变化。所以要使用加减速来解决启动频率低的问题,在启动时使用较低的脉冲频率,然
[嵌入式]
FPGA实现PID控制算法
一. 简介 相信大家对于PID控制算法,都不感到陌生了,平衡车就是靠它平衡起来的,还有飞控的平衡算法也是它,以及FOC中的闭环控制中也是用的它,它不仅简单,而且易于理解。那么本篇文章将简要介绍一下算法的原理,然后带大家使用FPGA来实现(C语言实现过程特别简单)。 二. PID算法 PID取自比例、积分、微分三个英文字母的首字母。意味着算法由这三部分组成。 1. P 比例 运算过程为 期望值 减去 当前值 ,然后再乘上一个p系数,就得到了一个反馈值。比例的作用主要是为了让 期望值 与 当前值相等 2. I 积分 将误差值不断累加,然后再乘上一个I系数,就得到了一个反馈值。 积分的作用主要是为了消去静态误差,但当前值接近 期望值
[嵌入式]
杂谈PID控制算法——第二篇:调·三个量
上面一篇文章讲了一下PID算法中的三个常量大致的在PID算法中起的一个作用,但在实际的使用中,究竟应该如何调节(或者用更加专业的话说是整定)PID控制算法的三个。首先可以将KP,KI,KD三个常量全部设为一,观察一下系统的调节情况是不是过快。大致确定输出控制量的结果需要右移多少位来做最终的控制量。然后将KI,KD设为0,KP从0一直逐渐增加试探,直到被控制量有一定超调,且有一定的小震荡。此时kp算调节到差不多了。我们可以继续调节Ki,通过增大Ki使被控制量最终平稳下来的值尽可能是我们设定的值。积分量ki的调节与Kp的调节相似,从小到大调整。但要注意ki的增加会使得超调量变大,所以ki增大时kp应当相应减小一点。调节完KP与Ki之后
[单片机]
电机控制算法 电机控制算法有哪些 BLDC电机控制算法很难?
无刷电机属于自换流型(自我方向转换),因此控制起来更加复杂。 BLDC电机控制要求了解电机进行整流转向的转子位置和机制。对于闭环速度控制,有两个附加要求,即对于转子速度/或电机电流以及PWM信号进行测量,以控制电机速度功率。 BLDC电机可以根据应用要求采用边排列或中心排列PWM信号。大多数应用仅要求速度变化操作,将采用6个独立的边排列PWM信号。这就提供了最高的分辨率。如果应用要求服务器定位、能耗制动或动力倒转,推荐使用补充的中心排列PWM信号。 为了感应转子位置,BLDC电机采用霍尔效应传感器来提供绝对定位感应。这就导致了更多线的使用和更高的成本。无传感器BLDC控制省去了对于霍尔传感器的需要,而是采用电机的反电动势(电动
[嵌入式]
foc电机控制需要几个pwm foc控制算法介绍
foc电机控制需要几个pwm FOC(Field-Oriented Control)电机控制需要使用两个PWM信号来控制电机,具体分为一般PWM和扩展PWM两种。 一般PWM用于控制电机的直流母线电压,其输出频率一般为几千赫兹,可以有效地抑制电机的噪声和震动。通过PWM的占空比来调节直流电压,从而实现对电机的调速和调转矩。一般PWM一般由开发板或者控制芯片的内置模块实现。 扩展PWM用于控制电机的电流,其输出频率的设置一般要远远低于一般PWM的频率,以保证电路的稳定性和控制精度。扩展PWM的任务是将控制算法的电流控制命令转换为电机的相电流,从而实现对电机的转矩和速度控制。在FOC控制中,扩展PWM一般需要由开发者根据自身电
[嵌入式]
LQR控制算法之最优控制
LQR算法是最优控制中经典的算法,而且LQR是一个应用较多的控制算法,所以在这里我以最优控制为起点介绍LQR控制算法。 注意LQR控制算法的基础是你要有现代控制理论的基础,需要知道状态空间(State Space)。 1 最优控制问题实例分析 考虑一列火车 W,其质量为 m,沿着水平轨道运动,不考虑空气的阻力和地面对火车的摩擦力,把火车看成一个沿着直线运动的质点,x(t)表示火车在t 时刻的位置,u(t)是施加在火车上的外部控制力,假设火车的初始位置和速度分别为 x(0)=x0,x' (0)=0要求选择一个合适的外部控制函数 (t)使火车在最短时间内到达并静止在坐标原点,即到达坐标原点时速度为零。 根据牛顿第二定
[嵌入式]
一文读懂直流电机控制算法
通常我们在控制小车运动的时候不知道如何精确的对小车轨迹进行控制。在不懂得小车控制算法精髓的时候,我们是无法对小车进行精确的控制的。目前绝大多数小车都是用PID控制算法来实现对小车的运动控制的。现在很多玩家就只知道一种调节方法,就是比例调节,即向左偏就向右调节,向右偏就向左调节,最容易想到,也是最容易用软硬件实现的,但是结果也是最容易出问题的。当时的感觉就是小车太灵敏了,忽左忽右,不是很稳定。后来查了资料后知道了其他的调节方式。 控制算法: 电机控制算法的作用是接受指令速度值,通过运算向电机提供适当的驱动电压,尽快地和尽快平稳地使电机转速达到指令速度值,并维持这个速度值。换言之,一旦电机转速达到了指令速度值,即使在各种不利因素(
[嵌入式]
一文详解无传感器PMSM 马达FOC控制算法详解
PMSM应用 高效率和高可靠性 设计用于高性能伺服应用 可实现有1无位置编码器的运行方式 比ACIM体积更小、效率更高、重量更轻 采用FOC控制可实现最优的转矩输出 平滑的低速和高速运行性能 较低的噪声和EMI
[嵌入式]