一、环境介绍
工程编译软件: keil5
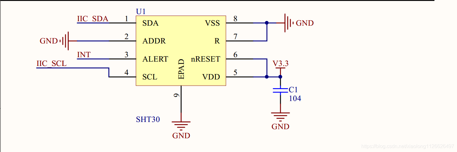
温湿度传感器: SHT30
MCU : STM32F103ZET6
程序采用模块化编程,iic时序为一个模块(iic.c 和 iic.h),SHT30为一个模块(sht30.c 和 sht30.h);IIC时序采用模拟时序方式实现,IO口都采用宏定义方式,方便快速移植到其他平台使用。
工程源码完整下载地址: https://download.csdn.net/download/xiaolong1126626497/18973724
二、SHT30介绍
特点:
1. 湿度和温度传感器
2. 完全校准、线性化和温度
3. 补偿数字输出,宽电源电压范围,从2.4 V到5.5 V
4. I2C接口,通信速度高达1MHz和两个用户可选地址
5. 典型精度 +- 2%相对湿度和+- 0.3°C
6. 启动和测量时间非常快
7. 微型8针DFN封装
这是SHT30的7位IIC设备地址:

三、设备运行效果
这是串口打印的数据:
四、设备代码
4.1 main.c
#include "stm32f10x.h"
#include "led.h"
#include "delay.h"
#include "key.h"
#include "usart.h"
#include "iic.h"
#include "sht3x.h"
int main()
{
float Humidity;
float Temperature;
USART1_Init(115200);
USART1_Printf("设备运行正常....rn");
IIC_Init();
Init_SHT30();
while(1)
{
//读取温湿度
SHT3x_ReadData(&Humidity,&Temperature);
USART1_Printf("温度:%0.2f,湿度:%0.2frn",Temperature,Humidity);
delay_ms(1000);
}
}
4.2 sht30.c
#include "sht3x.h"
const int16_t POLYNOMIAL = 0x131;
/***************************************************************
* 函数名称: SHT30_reset
* 说 明: SHT30复位
* 参 数: 无
* 返 回 值: 无
***************************************************************/
void SHT30_reset(void)
{
u8 r_s;
IIC_Start(); //发送起始信号
IIC_WriteOneByteData(SHT30_AddrW); //写设备地址
r_s=IIC_GetACK();//获取应答
if(r_s)printf("Init_SHT30_error:1rn");
IIC_WriteOneByteData(0x30); //写数据
r_s=IIC_GetACK();//获取应答
if(r_s)printf("Init_SHT30_error:2rn");
IIC_WriteOneByteData(0xA2); //写数据
r_s=IIC_GetACK();//获取应答
if(r_s)printf("Init_SHT30_error:3rn");
IIC_Stop(); //停止信号
delay_ms(50);
}
/***************************************************************
* 函数名称: Init_SHT30
* 说 明: 初始化SHT30,设置测量周期
* 参 数: 无
* 返 回 值: 无
***************************************************************/
void Init_SHT30(void)
{
u8 r_s;
IIC_Start(); //发送起始信号
IIC_WriteOneByteData(SHT30_AddrW); //写设备地址
r_s=IIC_GetACK();//获取应答
if(r_s)printf("Init_SHT30_error:1rn");
IIC_WriteOneByteData(0x22); //写数据
r_s=IIC_GetACK();//获取应答
if(r_s)printf("Init_SHT30_error:2rn");
IIC_WriteOneByteData(0x36); //写数据
r_s=IIC_GetACK();//获取应答
if(r_s)printf("Init_SHT30_error:3rn");
IIC_Stop(); //停止信号
delay_ms(200);
}
/***************************************************************
* 函数名称: SHT3x_CheckCrc
* 说 明: 检查数据正确性
* 参 数: data:读取到的数据
nbrOfBytes:需要校验的数量
checksum:读取到的校对比验值
* 返 回 值: 校验结果,0-成功 1-失败
***************************************************************/
u8 SHT3x_CheckCrc(char data[], char nbrOfBytes, char checksum)
{
char crc = 0xFF;
char bit = 0;
char byteCtr ;
//calculates 8-Bit checksum with given polynomial
for(byteCtr = 0; byteCtr < nbrOfBytes; ++byteCtr)
{
crc ^= (data[byteCtr]);
for ( bit = 8; bit > 0; --bit)
{
if (crc & 0x80) crc = (crc << 1) ^ POLYNOMIAL;
else crc = (crc << 1);
}
}
if(crc != checksum)
return 1;
else
return 0;
}
/***************************************************************
* 函数名称: SHT3x_CalcTemperatureC
* 说 明: 温度计算
* 参 数: u16sT:读取到的温度原始数据
* 返 回 值: 计算后的温度数据
***************************************************************/
float SHT3x_CalcTemperatureC(unsigned short u16sT)
{
float temperatureC = 0; // variable for result
u16sT &= ~0x0003; // clear bits [1..0] (status bits)
//-- calculate temperature [℃] --
temperatureC = (175 * (float)u16sT / 65535 - 45); //T = -45 + 175 * rawValue / (2^16-1)
return temperatureC;
}
/***************************************************************
* 函数名称: SHT3x_CalcRH
* 说 明: 湿度计算
* 参 数: u16sRH:读取到的湿度原始数据
* 返 回 值: 计算后的湿度数据
***************************************************************/
float SHT3x_CalcRH(unsigned short u16sRH)
{
float humidityRH = 0; // variable for result
u16sRH &= ~0x0003; // clear bits [1..0] (status bits)
//-- calculate relative humidity [%RH] --
humidityRH = (100 * (float)u16sRH / 65535); // RH = rawValue / (2^16-1) * 10
return humidityRH;
}
//读取温湿度数据
void SHT3x_ReadData(float *Humidity,float *Temperature)
{
char data[3]; //data array for checksum verification
u8 SHT3X_Data_Buffer[6]; //byte 0,1 is temperature byte 4,5 is humidity
u8 r_s=0;
u8 i;
unsigned short tmp = 0;
uint16_t dat;
IIC_Start(); //发送起始信号
IIC_WriteOneByteData(SHT30_AddrW); //写设备地址
r_s=IIC_GetACK();//获取应答
if(r_s)printf("SHT3X_error:1rn");
IIC_WriteOneByteData(0xE0); //写数据
r_s=IIC_GetACK();//获取应答
if(r_s)printf("SHT3X_error:2rn");
IIC_WriteOneByteData(0x00); //写数据
r_s=IIC_GetACK();//获取应答
if(r_s)printf("SHT3X_error:3rn");
//IIC_Stop(); //停止信号
// DelayMs(30); //等待
//读取sht30传感器数据
IIC_Start(); //发送起始信号
IIC_WriteOneByteData(SHT30_AddrR);
r_s=IIC_GetACK();//获取应答
if(r_s)printf("SHT3X_error:7rn");
for(i=0;i<6;i++)
{
SHT3X_Data_Buffer[i]=IIC_ReadOneByteData(); //接收数据
if(i==5)
{
IIC_SendACK(1); //发送非应答信号
break;
}
IIC_SendACK(0); //发送应答信号
}
IIC_Stop(); //停止信号
// /* check tem */
data[0] = SHT3X_Data_Buffer[0];
data[1] = SHT3X_Data_Buffer[1];
data[2] = SHT3X_Data_Buffer[2];
tmp=SHT3x_CheckCrc(data, 2, data[2]);
if( !tmp ) /* value is ture */
{
dat = ((uint16_t)data[0] << 8) | data[1];
*Temperature = SHT3x_CalcTemperatureC( dat );
}
// /* check humidity */
data[0] = SHT3X_Data_Buffer[3];
data[1] = SHT3X_Data_Buffer[4];
data[2] = SHT3X_Data_Buffer[5];
tmp=SHT3x_CheckCrc(data, 2, data[2]);
if( !tmp ) /* value is ture */
{
dat = ((uint16_t)data[0] << 8) | data[1];
*Humidity = SHT3x_CalcRH( dat );
}
}
4.3 iic.c
#include "iic.h"
/*
函数功能:IIC接口初始化
硬件连接:
SDA:PB7
SCL:PB6
*/
void IIC_Init(void)
{
RCC->APB2ENR|=1<<3;//PB
GPIOB->CRL&=0x00FFFFFF;
GPIOB->CRL|=0x33000000;
GPIOB->ODR|=0x3<<6;
}
/*
函数功能:IIC总线起始信号
*/
void IIC_Start(void)
{
IIC_SDA_OUTMODE(); //初始化SDA为输出模式
IIC_SDA_OUT=1; //数据线拉高
IIC_SCL=1; //时钟线拉高
DelayUs(4); //电平保持时间
IIC_SDA_OUT=0; //数据线拉低
DelayUs(4); //电平保持时间
IIC_SCL=0; //时钟线拉低
}
/*
函数功能:IIC总线停止信号
*/
void IIC_Stop(void)
{
IIC_SDA_OUTMODE(); //初始化SDA为输出模式
IIC_SDA_OUT=0; //数据线拉低
IIC_SCL=0; //时钟线拉低
DelayUs(4); //电平保持时间
IIC_SCL=1; //时钟线拉高
DelayUs(4); //电平保持时间
IIC_SDA_OUT=1; //数据线拉高
}
/*
函数功能:获取应答信号
返 回 值:1表示失败,0表示成功
*/
u8 IIC_GetACK(void)
{
u8 cnt=0;
IIC_SDA_INPUTMODE();//初始化SDA为输入模式
IIC_SDA_OUT=1; //数据线上拉
DelayUs(2); //电平保持时间
IIC_SCL=0; //时钟线拉低,告诉从机,主机需要数据
DelayUs(2); //电平保持时间,等待从机发送数据
IIC_SCL=1; //时钟线拉高,告诉从机,主机现在开始读取数据
while(IIC_SDA_IN) //等待从机应答信号
{
cnt++;
if(cnt>250)return 1;
}
IIC_SCL=0; //时钟线拉低,告诉从机,主机需要数据
return 0;
}
/*
函数功能:主机向从机发送应答信号
函数形参:0表示应答,1表示非应答
*/
void IIC_SendACK(u8 stat)
{
IIC_SDA_OUTMODE(); //初始化SDA为输出模式
IIC_SCL=0; //时钟线拉低,告诉从机,主机需要发送数据
if(stat)IIC_SDA_OUT=1; //数据线拉高,发送非应答信号
else IIC_SDA_OUT=0; //数据线拉低,发送应答信号
DelayUs(2); //电平保持时间,等待时钟线稳定
IIC_SCL=1; //时钟线拉高,告诉从机,主机数据发送完毕
上一篇:STM32+ULN2003驱动28BYJ4步进电机(根据圈数正转、反转)
下一篇:STM32+MFRC522完成IC卡号读取、密码修改、数据读写
推荐阅读
史海拾趣
- 2025 是德科技数字月:围观拆解百万示波器!注册可参与幸运抽奖!
- Follow me第二季第1期来啦!与得捷一起解锁【Adafruit Circuit Playground Express】超能力!
- 电源技术专辑第1期:快充参考设计大集合!
- 调查:量身定制你的 M0 单片机!参与问卷有好礼!
- 有奖直播:ADI数字主动降噪耳机方案 8月6日上午10:00-11:30 邀您聆听让技术为我们静下来
- 有奖直播|TI 符合 USB 2.0 标准的最新隔离器件
- MPS电机研究院 让电机更听话的秘密! 第二站:电机设计经验征集令!
- DigiKey 应用探索站 | 机器人解决方案和技术
- 有奖直播:TI新C29x 内核 C2000™ 系列培训会 报名中!
- MTBF突破4万小时!这家工业级3D相机品牌产品稳定性获权威机构认可
- 英特尔创始人、“摩尔定律”提出者戈登·摩尔去世
- 本周机器人行业大事件TOP5
- G20周刊|埃斯顿与北自所达成战略合作、海康机器人发布光伏组件汇流带视觉检测解决方案
- 14家工业智能企业入选《上海市智能机器人标杆企业与应用场景推荐目录》
- 工业机器人的驱动系统包括哪些?工业机器人驱动系统的种类
- IAR Systems 支持NXP S32K3 MCU 系列下一代汽车应用
- 合见工软发布一站式电子设计数据管理平台UniVista EDMPro
- MediaTek发布Filogic 130无线连接芯片
- e络盟发布新一期Raspberry Pi音频制作电子书












ASM10DTBD-S664






京公网安备 11010802033920号