对于无刷电机,其电动势的平衡方程为:

式中,U为电源电压(V),E为电枢反电动势(V),Iacp为平均电枢电流(A),racp为电枢绕组的平均电阻(Ω),AU是功率管饱和压降(V),2ΔU对于桥式换相线路为。
对于不同的电枢绕组形式和换相线路形式,电枢绕组反电动势有不同的等效表达式,但不论哪一种绕组和线路结构,电枢反电动势可以表示为:

式中,n为电机转速(r/min),Ke为反电动势常数(V/r/min)。
由式(1)和(2)可知:

可见,在忽略电枢电阻和功率开关压降的情况下,无刷直流电机的转速仅和电枢电压及磁场强度有关,其调速方法:a调压调速;b弱磁调速两种,类似于直流有刷电机调速。其中,调压调速因采用额定励磁可实现额定转矩输出,故适用于恒转矩负载基速范围内调速,且方法简单易于实现而得到广泛应用。
无刷直流电机调压调速方案:晶闸管移相调压、DC/DC变换电路调压;脉宽调制PWM技术调压。随着消费和工业的需求日渐复杂,CW32生态社区所做关于无刷电机驱动的相关DEMO,均以脉宽调制PWM技术调压为准,并在此基础上凭借CW32可靠的高性能定时器满足客户多元化需求。
1 晶闸管移相调压
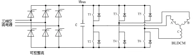
如果系统是交流供电,则需要整流电路获得直流母线电压。此时,可以采用晶闸管构成可控整流桥,利用调相方法调节直流母线电压Ubus的大小,如图1所示。这种控制方法适用于动态性能要求不高的场合。

图1 可控整流电路调压
2 DC/DC变换器调压
如果系统是直流供电,则可以用DC/DC变换器调压。调压调速原理如图2所示。图中变换器用以调节电枢电压达到无刷直流电机调速的目的;换相电路适时切换通电绕组使电机旋转。

图2 DC/DC变换器调压
这种最简单的例子,就是在连接的直流母线上串接一个功率晶体管,用以调节给控制器的直流电压。此功率晶体管可以工作在放大器状态,给控制器的电压可以连续变化。这种控制方式电路比较简单而且有大的带宽。但是在功率晶体管上的损耗大,系统总效率低,只适用于小功率系统。
3 PWM换相调压
最常见的调压调速方法是脉宽调制技术,PWM技术(Pulse Width Modulation)。
PWM技术可以极其有效地进行谐波抑制,在频率、效率方面有着明显的优点,使逆变电路的技术性能与可靠性得到了明显的提高。采用PWM方式构成的逆变器,其输入为固定不变的直流电压,可以通过PWM技术在同一逆变器中既实现调压又实现调频。由于这种逆变器,只有一个可控的功率级,简化了主回路和控制回路的结构,因而体积小、重量轻、可靠性高。又因为集调压、调频于一身,所以调节速度快、系统的动态响应好。
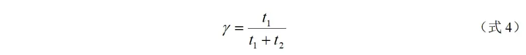
把每半个周期内,输出电压的波形分割成若干个脉冲,每个脉冲的宽度为t1,每两个脉冲间的间隔宽度为t2,如图3所示,则脉冲的占空比γ为:

此时,输出电压的平均值和占空比成正比,所以在调节频率时,不改变直流电压的幅值,而是改变输出电压脉冲的占空比,也可样可以实现变频变压的效果,如图3所示。其中图3a为调制前的波形,图3b为调制后的波形。与图3a相比,图3b的电压周期增大(频率降低),电压脉冲的幅值不变,而占空比则减小,故平均电压降低。

在实际应用中,一般保持频率不变,而通过调整占空比来实现调压调速。
PWM换相调压原理如图4所示,图中换相电路一方面受转子位置传感器控制适时切换功率开关器件实现通电绕组换相,另一方面功率器件导通时间又受占空比影响从而实现了输出电压的改变。

图4 PWM调压
与图2相比,PWM方式具有电路简单、元件数量少等优点,应用较为广泛,但电磁噪声与损耗较大。对比见图5。

图5 DC/DC和PWM调压模式比较
在无刷直流电机PWM调速控制中,调制波为与转速相关的直流电平;为降低开关损耗,可采取一个开关管工作于PWM状态进行调压,而另一个处于常通状态。常见的PWM工作模式见图6,图中以120度HALL安装为例。

图6 PWM换相调压模式
图中,a)和b)为上桥臂或下桥臂3个开关管进行PWM调制,另一个配对导通的开关管处于常通状态,以0~60°区间T1、T4导通为例,在HPWM-LON中,T1进行PWM调制(即调压),T4为常通,而HON-LPWM中T1、T4的工作模式刚好与此相反,T1常通,T4执行PWM调压。此模式下逆变器输出相电压波形见图5-15a)。
PWM-ON-PWM模式中,0~360°区间,任意时刻仅一个开关管执行PWM调压;以0~120°区间为例,T1先进入30°的PWM模式,此刻T4常通;其后60°T1则处于常通状态;最后30°T1再次进入PWM模式。PWM-ON-PWM模式6个开关管的工作模式一致,功耗相同,系统可靠性提高,同时转矩波动较小。此模式下逆变器输出相电压波形见图7 b)。

图7 逆变器输出电压
脉宽调制控制常用于速度调节,它以功率开关的占空比变化相当于外施加电压的变化控制电机的转速。它也可以用于对绕组电流的控制,实现软起动、限流、特定电流波形等控制。由于无刷直流电动机通常有较高的电感,合适调制频率下电机电流接近于连续,波动较小。调制频率通常在1~30~50KHZ之间选择。
上一篇:CW32电机控制基础——无感BLDC的转子位置检测
下一篇:CW32电机控制基础——无刷直流电机换相控制原理
推荐阅读最新更新时间:2026-03-25 18:33
- 边缘计算主机盒选购指南:五大核心指标解析
- Arm AGI CPU 更多细节:台积电 3nm 制程、Neoverse V3 微架构
- Arm AGI CPU 重磅发布:构筑代理式 AI 云时代的芯片基石
- Arm 拓展其计算平台矩阵,首次跨足芯片产品
- 阿里达摩院发布RISC-V CPU玄铁C950,首次原生支持千亿参数大模型
- 边缘 AI 加速的 Arm® Cortex® ‑M0+ MCU 如何为电子产品注入更强智能
- 阿里达摩院发布玄铁C950,打破全球RISC-V CPU性能纪录
- VPU中的“六边形战士”:安谋科技Arm China发布“玲珑”V560/V760 VPU IP
- 利用锚定可信平台模块(TPM)的FPGA构建人形机器人安全
- 使用 Analog Devices 的 ADP3334 的参考设计
- LTC3588IMSE-1 5V 至 16V 太阳能供电 2.5V 电源的典型应用电路,具有用于增加输出能量存储和电池备份的超级电容器
- XRP7659、1.5A DC 至 DC 非同步降压稳压器的典型应用
- 使用 ON Semiconductor 的 NCP3120MNTX 的参考设计
- MAXREFDES1003:150mA、4通道、LED驱动器,SEPIC配置
- LTC4223-2 演示板,用于 AMC 的双电源热插拔控制器(故障后自动重试)
- MC33072ADR2G 运算放大器用作晶体管驱动器的典型应用
- 使用 Diodes Incorporated 的 AP1509-12S 的参考设计
- NCP382HD10AAGEVB:单输入双输出高侧配电开关评估板
- 使用 Analog Devices 的 AD7730 的参考设计

高端电流检测的原理和电路
基于开发板frdmmcxn947利用lwip_httpsrv_freertos程序开发
非常经典的关于LLC的杨波博士论文
ASM10DTBD-S664






京公网安备 11010802033920号