套件概述
STM32H503RBTx_LQFP64是STM32H5系列微控制器的一款出色评估套件,它采用了先进的40nm工艺制造,为开发者提供了卓越的性能和能效。主频高达250MHz的Arm® Cortex®-M33内核使其处理能力非常强大,可以轻松应对各种复杂的计算和任务。
这个评估套件在存储方面同样表现优异,拥有128kB Flash存储器,以及32kB的SRAM,这为开发者提供了充足的内存资源,存储大量代码和数据,满足各种应用需求。
其64个引脚的LQFP封装设计使其兼容H5-2MB系列管脚,让开发者能够轻松替换和迁移现有项目。同时,该评估套件的Arduino Uno兼容性也为开发者提供了更广泛的资源和生态系统支持,方便利用丰富的Arduino库和工具。
除此之外,STM32H503RBTx_LQFP64评估套件还提供了多种供电选择,包括外部电源供电、板载调节器供电和USB供电,使得开发者可以根据具体需求选择最适合的供电方式,为项目提供更大的灵活性和便捷性。
总的来说,STM32H503RBTx_LQFP64评估套件作为一款高性能、低功耗的微控制器方案,具备强大的处理能力、丰富的存储资源、广泛的引脚兼容性和灵活的供电选择,为开发者提供了一个便捷且高度灵活的开发环境,助力他们快速实现各种创新的嵌入式应用。无论是初学者还是经验丰富的开发者,都能从中受益,将创意转化为现实。
最近在弄ST的课程,需要样片的可以加群申请:615061293 。
样品申请
https://www.wjx.top/vm/PpC1kRR.aspx
特征
该微控制器具有以下强大特性和性能优势:
内核性能卓越:搭载Arm® 32位 Cortex®-M33内核,运行频率高达250MHz,保证高效的数据处理和计算能力,使其适用于处理复杂任务和实时应用。
存储器丰富:内置128kB Flash存储器支持双Bank模式,同时提供32kB的SRAM,使得开发者可以存储大量的代码和数据,满足复杂应用的需求。
引脚灵活:该微控制器拥有64个管脚,采用LQFP封装,并且兼容H5-2MB系列管脚,方便替换和迁移现有项目。
高性能评估:凭借卓越的CoreMark分数,高达1023,表明在性能测试中该微控制器表现出色,适合处理计算密集型任务。
温度范围广泛:可在广泛的工作温度范围内运行,从极端低温-40°C到高温105°C,使其适用于各种环境和应用场景。
宽电压范围:支持宽广的电压范围,从1.71V至3.6V,为开发者提供了更大的灵活性和选择空间。
集成OP-Amp和Comp:该微控制器集成了1个运算放大器(OP-Amp)和1个比较器(Comp),为模拟信号处理和传感器接口提供了便利。
系统控制和生态系统访问
● 两个 USB 全速主机和设备(Type-C 连接器)
● 两种烧录方式
SWD 烧录口:编程或调试 PC
串口烧录:打印数据或烧录
● 用户指示灯和按钮
一个用户指示灯(蓝色)
两个串口指示灯(红色)指示调试连接
四个个电源指示灯(红色、绿色)
一个用户按键
一个复位按键
● 外部晶振
低速晶振:32KHz
高速晶振:8MHz
● 生态系统扩展
MCU 全部引脚由 CN4、CN5 引出
Arduino Uno 扩展连接器
● 支持多种集成开发环境(IDE)
IAR Embedded Workbench®
MDK-ARM
STM32Cube 系列
功能示意图
如下图所示,为 STM32H503RBTx_LQFP64 评估套件的正面图。
如下图所示,为 STM32H503RBTx_LQFP64 评估套件的背面图。
系统框图
如下图所示,为 STM32H503RBTx_LQFP64 开发板系统框图。
跳线设置
使用跳线帽更改 BOOT0 的模式,设置 BOOT 脚确定了 STM32 启动方式。
启动方式如下:
● BOOT 从用户 Flash 启动
● BOOT 从系统内存启动
● BOOT 从 SRAM 启动
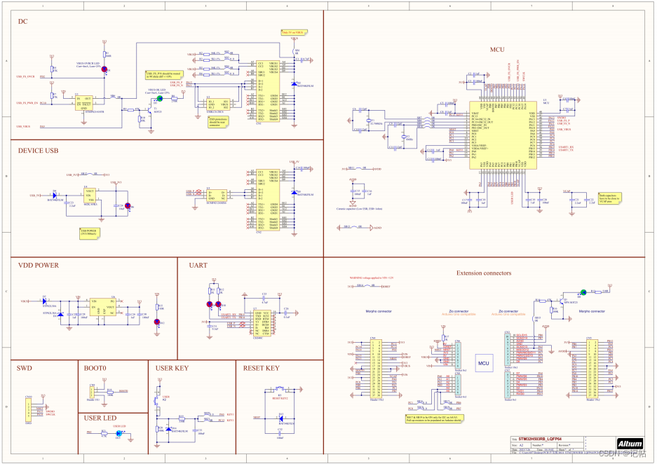
开发板原理图
如下图所示,为 STM32H503RBTx_LQFP64 开发板原理图。

上一篇:CAN总线学习笔记|STM32的CAN环回测试
下一篇:一款基于STM32的心电采集及分析处理系统的设计
推荐阅读最新更新时间:2026-03-25 10:44
- 用于 7VIN 至 16VIN、1.5V 和 1.2V 输出的 LTM4628EV DC/DC 模块稳压器的典型应用电路
- 使用 Analog Devices 的 LTC3728LIGN 的参考设计
- DER-406 - 适用于 A19 灯的 5.76 W 高 PF 非隔离降压-升压型 TRIAC 调光 LED 驱动器
- ADR5045B 5V 输出精密微功率并联模式电压基准的典型应用
- LT3970EDDB-3.42 2.5V 降压转换器的典型应用
- MC78M08BDTG 8V 电流调节器的典型应用
- LT1021DCN8-5 精密电压基准的典型应用
- DER-282 - 100W, 扁平(11 mm), LLC DC-DC转换器
- REF193 低压差开尔文连接电压基准的典型应用电路
- LT3088EM 线性稳压器用于添加软启动的典型应用
- 大声量 | 2023机器视觉技术与应用峰会议程新鲜出炉!
- 海康机器人视觉检测方案守护光伏组件生产质量
- 艾利特CSF系列力控协作机器人来了!
- MTBF突破4万小时!这家工业级3D相机品牌产品稳定性获权威机构认可
- 英特尔创始人、“摩尔定律”提出者戈登·摩尔去世
- s3c2410上搭建QT/Embedded4.8.5开发环境(六)--QtCreate的配置
- s3c2410上搭建QT/Embedded4.8.5开发环境(四)
- s3c2410上搭建QT/Embedded4.8.5开发环境(一)---环境导读
- ARM920T(S3C2440)的中断系统
- 谷歌Tensor芯片能拯救Pixel手机吗?分析师表示怀疑

【Follow me第三季第4期】CY8CPROTO-063-BLE开发任务汇总代码
英飞凌PSoC 6 电位器控制LED闪烁状态并水墨屏显示——源码
现代雷达系统的信号设计
5962-89541022A
BFR340T






京公网安备 11010802033920号