虽然现在有很多可以用来当做变阻器的器件:比如场效应管、X9C103数字电位器,但是由于存在非线性、寄生电容,所以在很多测量场合还是需要机械变阻器来完成。
■ 说明
在2020/9/18日,由于外部机械碰撞,使得BLUETOOTH接口断裂,整个模块就报废掉了。
▲ 拆解前的机械变阻电位器
01设计原理
机械变阻器
机械变阻器的控制器是由STM32F103为核心,外部使用两个A4950做起小型直流电机驱动器。通过ZIGBEE串口模块接收控制命名。
在控制上还有八个IO端口,可以通过命令任意配置成OUT,IN。
八个IO口通过左右两个相同的六管脚插座输出,从左到右分配定义为:

另外一个端口与画面定义相同,只是BIT的序号从4到8.

变阻器的执行部件是由带有减速齿轮箱的直流电机。直流电机配有霍尔转速吗盘。
该电机通过软塑料管可以与多圈电位器相连,通过转动带动电位器转动。
控制命令
控制命令的说明文档:
DesignCenterMyResearch202机械可变电阻
控制命令在软件SerialText.C中表示:如下面代码所示:
//------------------------------------------------------------------------------
void SerialDebugProcessBuffer(void) {
SerialDebugBuffer2Argument();
if(g_ucSDANumber == 0) return;
if(strcmp('hello', (char *)STD_ARG[0]) == 0)
printf('%s is ready !rn', VERSION_STRING);
else IFARG0('11pwm1') {
int nNumber;
sscanf(SDA(1), '%d', &nNumber);
SetPWM1(nNumber);
}else IFARG0('11pwm2') {
int nNumber;
sscanf(SDA(1), '%d', &nNumber);
SetPWM2(nNumber);
} else IFARG0('11pwm12') {
int nNumber;
sscanf(SDA(1), '%d', &nNumber);
SetPWM12(nNumber);
} else IFARG0('varistorcount1') {
int nNumber;
sscanf(SDA(1), '%d', &nNumber);
int nPWM = 20;
if(STD_NUM > 2) {
sscanf(SDA(2), '%d', &nPWM);
if(nPWM > 50) nPWM = 50;
}
SetCount1(nNumber, nPWM);
} else IFARG0('varistorcount2') {
int nNumber;
sscanf(SDA(1), '%d', &nNumber);
int nPWM = 20;
if(STD_NUM > 2) {
sscanf(SDA(2), '%d', &nPWM);
if(nPWM >= 50) nPWM = 50;
}
SetCount2(nNumber, nPWM);
} else IFARG0('varistorsetbit') {
int nNumber;
sscanf(SDA(1), '%x', &nNumber);
SetBit((unsigned char)nNumber);
} else IFARG0('varistorclearbit') {
int nNumber;
sscanf(SDA(1), '%x', &nNumber);
ClearBit((unsigned char)nNumber);
} else IFARG0('varistorsetbitvalue') {
int nNumber;
sscanf(SDA(1), '%x', &nNumber);
SetBitValue((unsigned char)nNumber);
} else IFARG0('varistorgetstatus') {
char szString[32];
sprintf(szString, '%d %d %drn', GetBitValue(), GetCount1(), GetCount2());
printf('%s', szString);
int nLength = strlen(szString);
int i;
for(i = 0; i < nLength; i ++) {
UART2SendChar(szString[i]);
}
} else IFARG0('varistorsetbitoutin'){
int nNumber;
sscanf(SDA(1), '%x', &nNumber);
SetBitOutIn((unsigned char)nNumber);
}
在JPGA25DOP中带有Python调用命令程序函数,相应的命令见下面的代码:
#!/usr/local/bin/python
# -*- coding: gbk -*-
#============================================================
# JPGA25.PY -- by Dr. ZhuoQing 2020-01-26
#
# Note:
#============================================================
from head import *
from tsmodule.tshardware import *
def jpgasetbitoutin(bit):
ccloadSerial.write(b'varistorsetbitoutin %xr'%bit)
def jpgagetstatus():
if ccloadSerial.inWaiting() > 0:
ccloadSerial.read(ccloadSerial.inWaiting())
ccloadSerial.write(b'varistorgetstatusr')
for i in range(100):
if ccloadSerial.inWaiting() > 0: break
time.sleep(0.01)
time.sleep(0.01)
return ccloadSerial.read(ccloadSerial.inWaiting())
def jpgasetbitvalue(bit):
ccloadSerial.write(b'varistorsetbitvalue %xr'%bit)
def jpgarun1(step, speed=20):
ccloadSerial.write(b'varistorcount1 %d %dr'%(step, speed))
def jpgarun2(step, speed=20):
ccloadSerial.write(b'varistorcount2 %d %dr'%(step, speed))
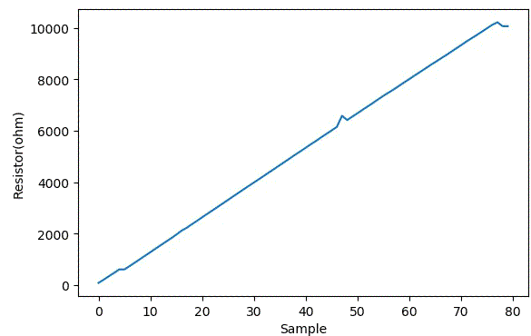
测试结果
通过以下代码,使得变阻器变动,通过DM3068数字万用表测量电阻。 变阻器的引脚三个,从右到左,分别是滑动端,固定端1,固定端2.
指令中,如果RUN的参数为正,则滑动端与固定端2的电阻减少,与固定端1的电阻增加。 移动总步数大约为4500。
由于使用ZIGBEE进行命令控制,其中会出现丢失命令数据包的情况,所以在移动过程中电阻的变化会出现暂留的情况。

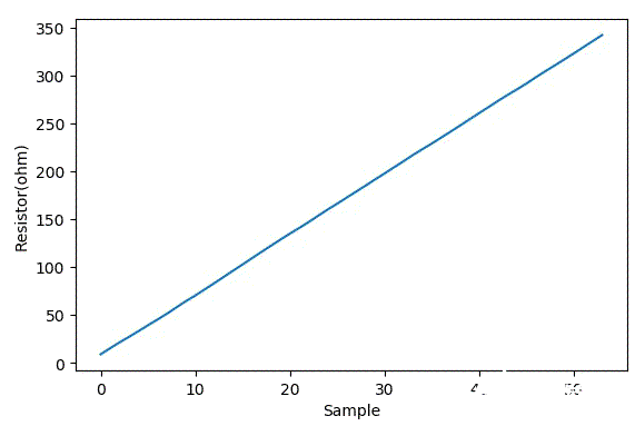
下面是对于第二个电阻测试的结果。每移动一次,测量滑动端至固定端2 之间的电阻。

#!/usr/local/bin/python
# -*- coding: gbk -*-
#============================================================
# EXE1.PY -- by Dr. ZhuoQing 2020-01-26
#
# Note:
#============================================================
from headm import *
from tsmodule.tsvisa import *
dm3068open()
from jpga25 import *
#------------------------------------------------------------
jpgarun2(5500, 50)
#exit()
time.sleep(2)
#------------------------------------------------------------
resdim = []
pltgif = PlotGIF()
for i in range(80):
jpgarun2(-50, 20)
time.sleep(.5)
res = dm3068res()
printff(i, res)
resdim.append(res)
plt.clf()
plt.plot(resdim)
plt.xlabel('Sample')
plt.ylabel('Resistor(ohm)')
plt.pause(.01)
pltgif.append(plt)
pltgif.save(r'd:tempres.gif?imageView2/2/w/1000', 50, 3000)
jpgarun2(5500, 50)
上一篇:如何利用外部中断和定时器测量信号频率?
下一篇:基于LabVIEW软件设计的调试平台在工业控制中的应用
推荐阅读最新更新时间:2026-03-21 14:40
- Er3105Di 500Ma宽输入电压同步降压稳压器内部默认参数选择典型应用示意图
- 使用 LTC2377CMS-16、16 位、500ksps、低功耗 SAR ADC 的典型应用
- L7806C负输出电压电路的典型应用
- LT3959 的典型应用 - 具有 6A、40V 开关的宽输入电压范围升压/SEPIC/反相转换器
- LPS33W适配器板,标准DIL24插座
- 使用 Analog Devices 的 LT3470AIDDB 的参考设计
- MC33364通用输入电池充电器典型应用电路
- AM2G-2405SH30Z 5V 2W DC/DC 转换器的典型应用
- 用于电池测试解决方案的 ADP1972 降压或升压、PWM 控制器的典型应用
- LT1121IS8-3.3 5V 低压差稳压器的典型应用电路,用于具有关断的电池供电电源

一种新型的全线控车辆集成底盘控制器(英文)
便携水族交互控制器微信小程序
现代雷达系统的信号设计
BFR340T






京公网安备 11010802033920号