汽车作为一种运输工具,运输效率的高低在很大程度上取决于汽车的动力性。动力性是各种性能中最基本、最重要的性能之一。动力性的好坏,直接影到汽车在城市和城际公路上的使用情况。
电驱动系统是电动汽车的心脏,是电动汽车的唯一动力来源。电机的性能直接影响到整车的最高车速、加速性能及爬坡性能等。因此在新车开发阶段,必须进行驱动电机性能匹配,以判断设计方案是否满足设计目标和使用要求。
2电驱动系统的基本要求
2.1电驱动系统结构
通常电驱动系统从功能角度可分为电气和机械两大部分,由于驱动电机低速大扭矩的特性, 其中机械传动部分的结构是可选的。电气部分包括电机和电功率控制转化部分。系统原理简示如下图:

图 1 电驱动系统结构简图
2.2电机的基本性能要求
电动汽车运行工况复杂,对驱动电机要求能够频繁的启动/停止、加速/减速,低速和爬坡的时候要求转矩高,高速时转矩低,并要求宽广的调速范围。电机的选型要素通常包括: 电机的类型、额定电压、机械特性、效率、尺寸参数、可靠性和成本等。在基本物理参数定型的基础上通过匹配驱动系统和电子控制系统是电机工作在最佳的性能区间。
对电机基本性能指标有以下要求:
1) 高电压。
在允许的范围内采用高电压可以减小电机尺寸,较小损耗。
2) 高转速。
高转速电机体积更小、质量轻,可降低整车整备质量。
3)质量轻。
轻量化设计可以降低整备质量,节省宝贵的能量。
4)较大的启动转矩和较大的调速范围。这样匹配的电动车具有较好的启动性能、加速性能,并可以提高驾驶舒适性,减低驾驶员操作强度,达到与传统驾驶习惯的适应。
5) 效率高、损耗小,能实现制动能量回收。在车载能源系统不变的情况下,最大限度的增加续航里程,突出能源利用优势。
6) 良好的安全性。必须具备高压绝缘、保护设备。
7)可靠性好,适应汽车运行的各种恶劣环境。
8)结构简单、维修方便,维护成本低。
3电动客车动力性能匹配计算基本方法
进行电机动力匹配计算需首先按确定整车基本参数和性能目标,详细精确的基本参数是保证计算结果精度的基础。
3.1术语
1)迎风面积
迎风面积定义为车辆行驶方向的投影面积,可以通过通过三维数模的测量得到,三维数据不健全则通过设计总布置图测得。客车车型迎风面积为 A一般取值 4-7 m2 。
2)动力传动系统机械效率
根据客车车型动力传动系统的具体结构,传动系统的机械效率nT主要由变速器传动效率、 传动轴万向节传动效率、 主减速器传动效率等部分串联组成。
根据电机的性能匹配情况可以选择有或没有装置,通常变速装置每增加一对齿轮摩擦副,整体传动效率降低 1%;传动轴的一个十字节效率降低 1%;主加速部分的齿轮副同样降低效率 1%。
例如:根据实际情况,无变速器电机+传动轴直驱的方案传动效率为:
nT=99%×99%×99%×99%=96.1%
3)滚动阻力系数f
滚动阻力系数采用推荐的客车轮胎在良好路面上的滚动阻力系数经验公式进行 匹配计算:

其中:f0 —0.0072~0.0120 以上,取 0.012;
f1 —0.00025~0.00280,取 0.0027;
f4—0.00065~0.002 以上,取 0.002;
ua—汽车行驶速度, 单位为km/h;
c—对于良好沥青路面,c=1.2。
3.2电机的机械特性曲线
以直流永磁无刷电机的机械特性为例,电机动力输出特性通常可划分为恒扭矩区和恒功率区。恒扭矩区决定了整车起动性能、爬坡性能和低速加速性能, 恒功率区决定了整车的最高车速。
选型匹配时通过最高车速设计指标验证电机的功率特性;加速和最大爬坡度指标验证电机扭矩特性。在下文的选型匹配计算方法中将详述验证计算方法。

图 2直流永磁无刷驱动电机的机械特性曲线
3.3电机动力选型匹配计算方法
汽车动力性能匹配计算的主要依据是汽车的驱动力和行驶阻力之间的平衡关
系,汽车的驱动力-行驶阻力平衡方程为
Ft= Ff+ Fw+ Fi+ Fj
其中 Ft—驱动力;
Ff—滚动阻力;
Fw—空气阻力;
Fi—坡道阻力;
Fj—加速阻力。
下面对上述驱动力和行驶阻力的匹配计算方法以及各个曲线的匹配计算方法简要说明如下。
3.3.1驱动力、行驶阻力及其平衡图
在发动机转速特性、传动系统传动比及效率、车轮半径、空气阻力系数、迎风面积以及汽车的质量等确定后,便可确定汽车的驱动力-行驶阻力平衡关系。
驱动力:

其中:Ttq—发动机的转矩,单位为 N ·m;
i—变速器各个档位的传动比;
i0 —主减速器速比;
hT—动力传动系统机械效率;
rd—车轮滚动半径,单位为m。
滚动阻力
Ff=mgfcosa
其中:m—汽车匹配计算载荷工况下的质量,单位为kg;
g—重力加速度, 单位为m/s2;
f—滚动阻力系数;
a—道路坡角,单位为rad;
rd—车轮滚动半径,单位为m。
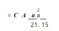
空气阻力

其中:CD—空气阻力系数;
A—迎风面积,单位为m2;
ua—汽车行驶速度, 单位为km/h。
客车空气阻力系数CD通常取 0.5-0.8,根据具体车型造型选择系数大小,车辆 造型越趋向于流线空气阻力系数取值越小。
坡道阻力
Fi=mgsin a (5)
其中: m—匹配计算载荷工况下汽车的质量,单位为kg;
g—重力加速度, 单位为m/s2;
a—道路坡角,单位为rad。
加速阻力

其中:
d—旋转质量换算系数;
m—匹配计算载荷工况下汽车的质量,单位为kg;
—汽车行驶加速度, 单位为m/s2。
在进行动力性初步匹配计算时,由于不知道汽车轮胎等旋转部件准确的转动惯 量数值,对于旋转质量换算系数d,通常根据下述经验公式进行匹配计算确定:

式中,d1 和d2 取值范围在 0.03 到 0.05 之间,这里粗取平均值,即认为d1 =d2 =0.04。
在进行不同档位的驱动力和阻力估算时,还需要知道汽车速度与发动机转速之间的关系:

其中:ua—汽车行驶速度, 单位为km/h;
n—发动机转速, 单位为rpm;
i0 —主减速器传动比;
rd—车轮的滚动半径,单位为m;
ig—当前档速比。
根据上述公式,我们还可以方便地估算出汽车在任意发动机转速、 档位下的驱动力、行驶阻力,进而可以绘制出汽车的驱动力-行驶阻力平衡图。
汽车的驱动力-行驶阻力平衡图形象地表明了汽车行驶时的受力情况和平衡关系。由此可以确定汽车的动力性。
在驱动力-行驶阻力平衡图中,求出最高档下驱动力和行驶阻力曲线的交点,曲线交点处对应的速度值即为汽车的最高车速。
3.3.2动力因数图
动力因数的定义为

其中:各个参数的含义同前面的说明。
利用公式(8)结合前面公式就可以估算出汽车各个档位下的动力因数值,进而可以绘制出动力因数图。
3.3.3爬坡度曲线图
根据汽车的行驶方程式和驱动力-行驶阻力平衡图,可以估算汽车的爬坡能力。在估算爬坡度时,认为汽车的驱动力除了用来克服空气阻力、 滚动阻力外,剩余驱动力都用来克服坡道阻力, 即加速阻力Fj为零。
根据公式(1)可以得到如下公式

将公式(3)、(5) 代入上式,就可以得到如下公式:
mgfcosa + mgsin a = Ft一 Fw
代入公式
以及公式(8),经过整理那么就可得

然后根据公式i=tga进行转换,这样就可以估算出爬坡度, 并进一步绘制出爬
坡度曲线图。
3.3.4加速度曲线及加速时间
汽车的加速能力可用它在水平良好路面上行驶时能产生的加速度来评价。
汽车加速时,驱动力除了用来克服空气阻力、 滚动阻力以外,主要用来克服加速阻力,此时不考虑坡道阻力Fi( Fi=0)。
根据公式(1)、(6),可以得到如下公式:

所以,加速时间

根据以上公式,通过数值积分方法对上式进行积分求解,就可以得到所需要的加速时间。
上一篇:什么是4D毫米波雷达?4D毫米波雷达与传统雷达有何区别?
下一篇:汽车传感器检测技巧16则
推荐阅读最新更新时间:2026-03-25 13:42
- 边缘计算主机盒选购指南:五大核心指标解析
- Arm AGI CPU 更多细节:台积电 3nm 制程、Neoverse V3 微架构
- Arm AGI CPU 重磅发布:构筑代理式 AI 云时代的芯片基石
- Arm 拓展其计算平台矩阵,首次跨足芯片产品
- 阿里达摩院发布RISC-V CPU玄铁C950,首次原生支持千亿参数大模型
- 边缘 AI 加速的 Arm® Cortex® ‑M0+ MCU 如何为电子产品注入更强智能
- 阿里达摩院发布玄铁C950,打破全球RISC-V CPU性能纪录
- VPU中的“六边形战士”:安谋科技Arm China发布“玲珑”V560/V760 VPU IP
- 利用锚定可信平台模块(TPM)的FPGA构建人形机器人安全
- 使用 Analog Devices 的 ADP3334 的参考设计
- LTC3588IMSE-1 5V 至 16V 太阳能供电 2.5V 电源的典型应用电路,具有用于增加输出能量存储和电池备份的超级电容器
- XRP7659、1.5A DC 至 DC 非同步降压稳压器的典型应用
- 使用 ON Semiconductor 的 NCP3120MNTX 的参考设计
- MAXREFDES1003:150mA、4通道、LED驱动器,SEPIC配置
- LTC4223-2 演示板,用于 AMC 的双电源热插拔控制器(故障后自动重试)
- MC33072ADR2G 运算放大器用作晶体管驱动器的典型应用
- 使用 Diodes Incorporated 的 AP1509-12S 的参考设计
- NCP382HD10AAGEVB:单输入双输出高侧配电开关评估板
- 使用 Analog Devices 的 AD7730 的参考设计

爱玛充电器电路图
【2025 DigiKey创意大赛】基于ATMEGA328PB-XMINI的车机交互
电车电路图
现代雷达系统的信号设计
BFR340T






京公网安备 11010802033920号