永磁同步电机具有体积小、转动惯量低、结构简单等优点,被广泛应用于控制系统中。然而在实际应用过程中,控制系统会受到高温、负载等外界因素的影响,永磁同步电机的电感、转子磁链等参数会发生变化,导致系统振荡,影响实际控制效果。
因此精确的参数辨识是为了达到更好地控制效果的必要条件。目前常用的电机参数辨识方法有:卡尔曼滤波算法、最小二乘法、遗传算法、粒子群算法等。考虑到最小二乘法结构简单、易于实现的优点,本期采用基于最小二乘法的永磁同步电机参数辨识方法。基于对永磁同步电机的推导,采用定子电压等可测变量作为输入输出,辨识出电机的定子电阻及d、q轴电枢电感。
1、最小二乘法
最小二乘参数辨识方法可以解决线性时变系统、线性定常系统、含有噪声的线性系统等问题。常见的最小二乘法有:递推最小二乘法、遗忘因子递推最小二乘法、修正补偿最小二乘法等,这些方法均可以用于系统参数辨识中。
2、辨识模型的建立
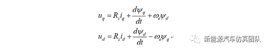
永磁同步电机是一个非线性的多变量系统。在d、q旋转坐标下的电压方程为:

式中,iq和id分别为q、d的电流;uq和ud分别为q、d的电压;Rs、Lq、Ld分别为定子绕组的电阻和q、d轴的电感;Ψq、Ψd分别为q、d磁链的分量;ω为转子的电角速度。
将上述公式修改为最小二乘法的表达形式:

3、仿真实验
将S函数编写的参数辨识模块加入到永磁同步电动机控制系统模型中进行仿真实验。
function [sys,x0,str,ts]=mdlInitializeSizes %系统的初始化
sizes = simsizes;
sizes.NumContStates = 0; %设置系统连续状态的变量
sizes.NumDiscStates = 0; %设置系统离散状态的变量
sizes.NumOutputs = 1; %设置系统输出的变量
sizes.NumInputs = 3; %设置系统输入的变量
sizes.DirFeedthrough = 1; %如果在输出方程中显含输入变量u,则应该将本参数设置为1,输入不直接传到输出口
sizes.NumSampleTimes = 1; % 模块采样周期的个数
% 需要的样本时间,一般为1.
% 猜测为如果为n,则下一时刻的状态需要知道前n个状态的系统状态
sys = simsizes(sizes);
x0 = []; % 系统初始状态变量
str = []; % 保留变量,保持为空
ts = [-1 0]; % 采样时间[t1 t2] t1为采样周期,如果取t1=-1则将继承输入信号的采样周期;参数t2为偏移量,一般取为0
global P_past2 theta_past2
P_past2 = 1e4 * eye(2,2); %一般取1e4 - 1e10
theta_past2 = [0.0001; 0.0001]; %一般取一个极小的正实向量
function sys=mdlOutputs(t,x,u) %产生(传递)系统输出
%初值的确定
lambda = 0.99; %遗忘因子0-1
global P_past2 theta_past2
xt = [u(1) u(2)]; %1*2 fait
y = u(3);
I = [1 0;0 1];
K = P_past2*xt'/(lambda + xt * P_past2*xt'); %2*1
P_new = 1/lambda*(I - K*xt) * P_past2; %2*2
theta_new = theta_past2 + K*(y-xt*theta_past2); %2*1
P_past2 = P_new ;
theta_past2 = theta_new;
sys(1) = theta_new(1);
function [sys,x0,str,ts] = Synchronous_demarcate(t,x,u,flag)
%此程序为辨识电机参数的定子电阻Rs, 永磁体磁通faif, dq轴电感L
switch flag
case 0 %初始化
[sys,x0,str,ts]=mdlInitializeSizes;
case 2 %离散状态计算,下一步仿真时刻,终止仿真设定
sys=[];%mdlUpdates(t,x,u);
case 3 %输出信号计算
sys=mdlOutputs(t,x,u);
case {1,4,9} %输出信号计算
sys=[];
otherwise
DAStudio.error('Simulink:blocks:unhandledFlag', num2str(flag));
end
function [sys,x0,str,ts]=mdlInitializeSizes %系统的初始化
sizes = simsizes;
sizes.NumContStates = 0; %设置系统连续状态的变量
sizes.NumDiscStates = 0; %设置系统离散状态的变量
sizes.NumOutputs = 3; %设置系统输出的变量
sizes.NumInputs = 5; %设置系统输入的变量
sizes.DirFeedthrough = 1; %如果在输出方程中显含输入变量u,则应该将本参数设置为1,输入不直接传到输出口
sizes.NumSampleTimes = 1; % 模块采样周期的个数
% 需要的样本时间,一般为1.
% 猜测为如果为n,则下一时刻的状态需要知道前n个状态的系统状态
sys = simsizes(sizes);
x0 = []; % 系统初始状态变量
str = []; % 保留变量,保持为空
ts = [0 0]; % 采样时间[t1 t2] t1为采样周期,如果取t1=-1则将继承输入信号的采样周期;参数t2为偏移量,一般取为0
global P_past theta_past
P_past = 1e4 * eye(3,3);
theta_past = [0;0;10000];
function sys=mdlOutputs(t,x,u) %产生(传递)系统输出
%初值的确定
lambda = 1; %遗忘因子, 选择不遗忘 0.8~1
global P_past theta_past
转动惯量参数辨识结果:
电磁电感参数辨识结果:
电角速度观测值:
负载观测结果:
三相电流观测结果:
仿真结果表明,采用递推最小二乘法的参数辨识算法能够准确辨识出电机的电磁参数,能够很好地跟随电机参数的变化,具有快速的收敛性和良好的辨识结果。
上一篇:PID算法与PID三个调节分量的优缺点概述
下一篇:两相感应伺服电动机的控制方法
- 热门资源推荐
- 热门放大器推荐
- 边缘计算主机盒选购指南:五大核心指标解析
- Arm AGI CPU 更多细节:台积电 3nm 制程、Neoverse V3 微架构
- Arm AGI CPU 重磅发布:构筑代理式 AI 云时代的芯片基石
- Arm 拓展其计算平台矩阵,首次跨足芯片产品
- 阿里达摩院发布RISC-V CPU玄铁C950,首次原生支持千亿参数大模型
- 边缘 AI 加速的 Arm® Cortex® ‑M0+ MCU 如何为电子产品注入更强智能
- 阿里达摩院发布玄铁C950,打破全球RISC-V CPU性能纪录
- VPU中的“六边形战士”:安谋科技Arm China发布“玲珑”V560/V760 VPU IP
- 利用锚定可信平台模块(TPM)的FPGA构建人形机器人安全
- LTC2945IUD-1 在 -48V 系统中使用低侧检测进行电源监控的典型应用
- 用于 24V 汽车应用的 LTC4367IDD 过压电源保护控制器的典型应用
- LTC2635-HZ12 四通道、12 位数模转换器的典型应用
- 使用 ROHM Semiconductor 的 BU4821 的参考设计
- 使用 Analog Devices 的 AD9625 的参考设计
- LT1307CS8 高压反激式转换器的典型应用电路
- AD7858L 3V 至 5V 单电源、200ksps、8 通道、12 位采样 ADC 的典型应用
- AND8337/D、1.2V、1.5V DC 至 DC 单路输出电源参考设计
- DER-713 - 使用 InnoSwitch3-EP PowiGaN 和 MinE-CAP 的 65 W 高功率密度适配器
- LDK120C11R 1.1V低压降稳压器典型应用(可调版)电路






现代雷达系统的信号设计
OP413EY

BFR340T






京公网安备 11010802033920号