压力传感器在人工智能、电子皮肤、工业应用、显示器中发挥着至关重要的作用。近年来,随着对人体健康监测器件、医疗诊断工具等方面需求越来越大,具有灵敏度高、响应快、工作压力范围宽、功耗低等优势的高性能压力传感器受到广泛关注。特别是在人机交互显示器技术中,将压敏晶体管和有机发光二极管进行集成,能够使压力可视化,是未来显示的新方向。
石墨烯由于具有优异的导电性、柔韧性、导热性、载流子迁移率和机械强度,在提高压力传感器性能方面受到广泛关注。石墨烯材料不仅在工业压力传感器中表现出应用潜力,更在可穿戴的柔性压力传感器、屏幕技术中有很好的应用前景,是一种理想的二维材料,可以集成到各种可穿戴电子器件中。
据麦姆斯咨询报道,针对基于石墨烯材料的压力传感器的研究进展,长春工业大学和梧州学院的研究团队进行了综述分析,阐述了石墨烯材料的优势、制备方法,石墨烯压力传感器的设计策略及其在可穿戴电子器件中的应用前景,并探讨了当前面临的挑战和机遇。相关研究内容以“石墨烯压力传感器在可穿戴电子器件中的研究进展”为题发表在《液晶与显示》期刊上。
石墨烯材料特性
石墨烯内部结构呈现蜂窝状的晶格排列,由碳原子连接而成,为石墨烯赋予了优异的性能,在电化学、物理学等领域大放异彩。压力传感器根据传感机制的不同主要可分为压阻式、电容式和压电式等。传统的金属和半导体压力传感器因为受到刚性、脆性、灵敏度低、传感范围窄、分辨率低、拉伸能力弱等限制导致应用范围以及发展受到影响。因此可以借助于柔性材料石墨烯提高压力传感器的灵敏度等性能,拓宽压力传感器的应用范围。
石墨烯的制造方法主要有“自上而下”和“自下而上”两种方法。“自上而下”方法可规模化,并且成本较低,包括微机械剥离、溶液剥离、碳纳米管的解压缩等方法。“自下而上”方法是通过原子组装的形式来制备石墨烯,包括化学气相沉积(CVD)、外延生长和还原法。

图1 (a)单层石墨烯分子结构;(b)碳纳米管解压缩获得石墨烯示意图;(c)外延生长法原理图;(d)氧化还原法制备石墨烯示意图
使用石墨烯提高压力传感器性能的设计
在设计压力传感器时,应考虑灵敏度、检测范围、线性度、响应时间等性能参数。根据使用的场景不同,对性能的需求也会有所变化。
随着石墨烯在压力传感器中的应用,压力传感器表现出了明显的变化,无论是将石墨烯与其它材料结合应用到传感器中,还是改变石墨烯本身的形状等措施,都在一定程度上提高了压力传感器的性能。首先,石墨烯压力传感器在结合的材料上可以是聚合物,例如聚甲基丙烯酸甲酯(PMMA)、聚甲基硅氧烷(PDMS),也可以是纤维,例如纸、棉花,同时石墨烯本身也可以进行杂化。其次在关键材料制备方法上通常为CVD、石墨烯溶液自组装、超声混合等。最后在结构上大多是石墨烯材料的复合结构,例如由PDMS微锥与石墨烯的复合结构、PMMA与石墨烯的立体结构、石墨烯和纤维的复合结构、石墨烯和氧化石墨烯组成的杂化结构等。未来,随着石墨烯压力传感器进一步和聚合物、纤维、石墨烯本身进行更多方式的融合,将带来更多的变化。
石墨烯压力传感器的应用
通过采用不同的制造技术,可以获得高灵敏度、超低检测限、快速响应的石墨烯压力传感器,可用于检测人体压力的轻微变化,在医疗保健监测、人体运动监测、血压测量等生物领域展现出很好的应用前景。

图2 各种研究文章中报道的柔性压力传感器的人体运动监测应用,如手指弯曲、肘关节弯曲、膝盖弯曲、声带振动、脸颊运动、吞咽、呼气或吸气、行走和跑步

图3 静电放电技术沉积还原氧化石墨烯纺织品的结构和机理示意图

图4 连接在玩具机器人股骨关节上的传感器,用手触摸传感器时,通过手机上的无线通信监测传感器响应

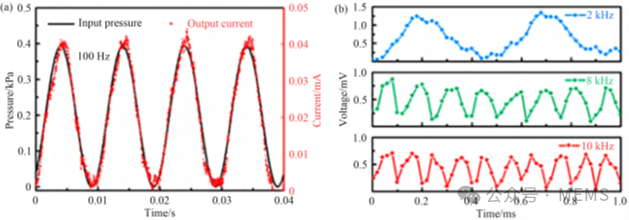
图5 GO/Gr复合薄膜的动态响应:(a)100 Hz加载压力下输出电流的响应;(b)加载频率分别为2、8、10 kHz的GO/Gr复合双层膜高频电压响应,该曲线遵循输入的压力信号
研究展望
综上所述,石墨烯材料具备优异的物理性质,通过与其它材料复合,结合传感器衬底和结构等方面的设计,使得石墨烯压力传感器表现出了优异的灵敏度、响应速度和检测范围,在人体行为和健康监测、人机交互、电子皮肤等方面表现出不俗的潜力。
然而,要满足不同的应用需求,石墨烯压力传感器在长期稳定性和机械适应性方面仍需改进。石墨烯压力传感器由导电网络和柔性衬底两部分组成,石墨烯材料及在反复外力作用下不可逆断裂形成的导电网络,会导致传感器性能退化,难以保持长期性能稳定。此外,应用于人体的压力传感器的机械约束也是一个待解决的问题。展望未来,随着科学技术的发展,石墨烯压力传感器可以通过与电子工程、生物医学工程、材料科学、显示技术等各个快速发展的研究领域合作,为人类的生产生活做出更大贡献。
- 边缘计算主机盒选购指南:五大核心指标解析
- Arm AGI CPU 更多细节:台积电 3nm 制程、Neoverse V3 微架构
- Arm AGI CPU 重磅发布:构筑代理式 AI 云时代的芯片基石
- Arm 拓展其计算平台矩阵,首次跨足芯片产品
- 阿里达摩院发布RISC-V CPU玄铁C950,首次原生支持千亿参数大模型
- 边缘 AI 加速的 Arm® Cortex® ‑M0+ MCU 如何为电子产品注入更强智能
- 阿里达摩院发布玄铁C950,打破全球RISC-V CPU性能纪录
- VPU中的“六边形战士”:安谋科技Arm China发布“玲珑”V560/V760 VPU IP
- 利用锚定可信平台模块(TPM)的FPGA构建人形机器人安全
- 支持 BLE 连接、由 4mA 至 20mA 电流回路供电的现场发送器参考设计
- AM2DM-0515DH60-NZ ±15 Vout、2W 双路输出 DC-DC 转换器的典型应用
- LTC6261IDC 音频耳机桥式驱动器运算放大器的典型应用
- LTC1775CS 2.5V/5A 可调输出降压稳压器的典型应用电路
- AD8601ARTZ-REEL7 符合 PC100 标准的线路输出放大器的典型应用
- 一种基于分立的 315MHz 振荡器解决方案,用于使用 BFR182 射频双极晶体管的远程无钥匙进入系统
- 使用 ROHM Semiconductor 的 BD49E39G-TR 的参考设计
- AM30EW-2405SZ 5V 三路输出 DC/DC 转换器的典型应用
- LTC3564 的电池在 1.2A 应用中达到 1.2V
- AL1676EV2,基于 AP1676 高亮度降压 LED 驱动控制器的评估板

现代电气工程基础
现代雷达系统的信号设计

BFR340T






京公网安备 11010802033920号