上期讲了单相绕组通以单相交流电流时产生的磁势。本期接着讲多相对称绕组通以多相对称交流电流时产生的磁势。需声明一点,本期所述内容仅适用于整数槽多相对称绕组,不适用于分数槽绕组。我们以三相对称绕组为例进行分析,进而推广到任意m(m≥2)相对称绕组。分析三相绕组的合成磁势有许多种方法,这里主要介绍常用的解析法、图解法和双旋转理论法三种方法分析三相绕组的合成磁势。
1 解析法
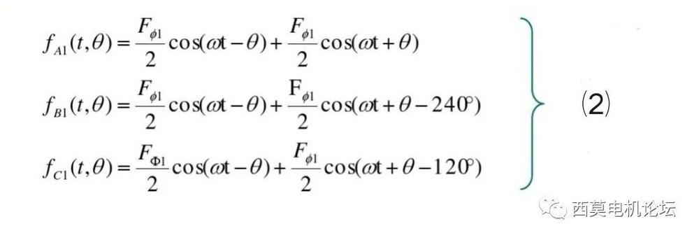
三相对称绕组在空间上彼此相差120º电角度,如果在三相对称绕组中通以三相对称交流电流时,三相电流在时间上也互差120º,如果把空间坐标的原点取在A相的相轴(绕组的对称中心线)位置;在时间方面,取A电流达到最大值时作为时间的起点(即t=0时刻iA处于最大值),则三相绕组各自产生的脉振磁势基波的表达式为:

利用三角函数的积化和差公式cosα•cosβ=(1/2)[cos(α+β)+cos(α-β)]将⑴式中的各项表达式分解得:

三相绕组的合成磁势基波就应该是⑵式中的三个公式相加。由⑵式可见,每个公式中的第一项都一样,而第二项则是三个互差120º的余弦函数,三者相加等于0,这样三相绕组的合成基波磁势就只剩下三个第一项相加。
f1(θ,t)=fA1+fB1+fC1=(3/2)•FΦ1•cos(ωt-θ)=F1•cos(ωt-θ) ⑶
其中:
F1=(3/2)•FΦ1=(3/2)•0.9•(W•Kdp1/p)•IΦ=1.35•(W•Kdp1/p)•IΦ ⑷
上述⑶式即为三相绕组的合成基波磁势表达式。
接下来介绍如何来理解这个表达式的含义。由⑶式可见:当时间t=0时,f1(θ,0)=F1•cos(-θ),波峰处于A相相轴位置;当时间t=t1时,f1(θ,t1)=F1•cos(ωt1-θ),波峰处于θ=ωt1位置。把这两个瞬间的磁势波画出来加以比较,可见磁势的幅值未变,但f1(θ,t1)比f1(θ,0)向前推进了一个角度β,β=ωt1,如图1所示。随着时间的推移,β角不断增大,即磁势波不断地向+θ方向移动,因此f1(θ,t)是一个幅值恒定不变的正弦行波。由于定子内腔为圆柱形,所以f1(θ,t)实质上是一个幅值恒定沿着气隙圆周连续推移的旋转磁势波,如图2所示。

如前所述,经过了t1时间,旋转磁势波转过了β=ωt1的电角度,则旋转磁势波旋转的电角速度就是ω=β/t1,由于气隙圆周每圈为p•2π电角度,因此旋转磁势波的机械转速即为:
n=ω/(p•2π)=f/p (转/秒)
=60f/p (转/分钟)
=ns ⑸
式中:f为定子电流的频率;p为极对数;ns为同步转速。由⑸式可见,定子基波旋转磁势的转速即为同步转速。另外从⑶式中还可看出,上述推导过程是在(ωt-θ)中的中间符号为“-”号情况下得出的旋转方向,如果中间符号为“+”号,则用同样的方法可以推导出旋转方向为相反的方向(推导过程略),因此(ωt-θ)中的中间符号代表了旋转磁势波的转向,“-”号代表转向是从A相轴线到B相轴线再到C相轴线…,称之为正向旋转,如果那个符号是“+”号,代表转向为A—C—B,称之为逆向旋转。当某一相电流达到最大值时,旋转磁势就刚好转到该相轴线位置。
以上分析表明:当三相对称绕组通以三相对称电流时,产生的基波合成磁势是一个幅值恒定、正弦分布、以同步转速旋转的旋转磁势波。磁势波的幅值F1为单相磁势幅值的3/2倍,旋转方向取决于三相电流的相序,如果三相电流的相序为A—B—C(正序),则转向即为从A相轴线到B相轴线再到C相轴线…(正向旋转);如果三相电流的相序为A—C—B(负序),则转向即为从A相轴线到C相轴线再到B相轴线…(逆向旋转)。由于旋转磁势波的幅值恒定,因此磁势波幅值F1的轨迹是一个圆,如图2所示,我们称这种磁势波和相应的磁场叫圆形旋转磁势和圆形旋转磁场。
2 图解法
上述结论也可从图解法得到。图3所示为三相磁势的图解合成过程。

图3中左边五个图表示五个不同瞬间的三相电流相量,中间五个图表示对应左侧瞬间各相绕组所产生的基波磁势和合成磁势,右边五个图表示相应的磁势空间矢量图。图中A、B、C三相绕组用三个集中线圈表示,各相绕组产生的基波脉振磁势在中间的图里用脉振正弦波来表示,在右边的图里用相应的空间脉振矢量来表示。
图3(a)表示ωt=0时刻,此时A相电流达到最大值,A相磁势幅值也达到最大值FΦ1,而此时B、C相电流瞬时值刚好为负的相电流幅值的一半,即iB=iC=-(1/2)Im,相应地此时B、C两相的磁势则为-(1/2)FΦ1,将此时三个磁势波逐点相加即可得到此时三相合成磁势波,如图3(a)中间的粗实线所示。此时三相合成磁势的幅值恰好与A相绕组轴线重合,大小为FΦ1的3/2倍。
随着时间的推移,到ωt=60º时刻,A相电流由最大值逐渐减小到iA=(1/2)Im,B相电流由负变正到iB=(1/2)Im,C相电流逐步变为负的最大值iC=-Im,各相磁势也随之做相应的变化,在此过程中合成磁势的幅值位置将从A相轴线向B相轴线位置靠近,此时刚好到达C相轴线的相反位置,如图3(b)所示。
当ωt=120º时,B相电流达到最大值,合成磁势的幅值转到B相轴线位置,如图3(c)所示,以此类推…。
这样当三相绕组中通以对称正序电流时,合成磁势的幅值就正向旋转,三相电流交变一个周期,合成磁势就相应转过360º电角度,即1/p转,其转速恰好等于同步转速。同理,当三相绕组中通以对称的负序电流时,合成磁势的旋转方向将反向,不再赘述。
以上用图解法分析了三相绕组通以三相对称交流电流产生的磁势基波为一个幅值不变的圆形旋转磁势,与解析法得出的结论一致。其实图解法的原理很简单,通俗地讲就是给在不同位置上的线圈依次间隔地通电流,那么得到的磁势必然是电流通到哪里,磁势就会转到哪里。如果这样解释你还不太好理解,那么我们就再用一种更加形象的比喻来描述这一现象。相信许多同学都在足球场里玩过人浪,即使你没玩过也应该在电视里见过吧。
对于每一位观众来说,他们分布在看台的不同位置,这就好比多相线圈分布在气隙圆周的不同位置(三相绕组在空间分布上互差120º电角度),每位观众只需在你自己的位置上做“起立——坐下”的反复动作,即每位观众只在自己位置上“脉振”,只要相邻观众的“脉振”动作有一定的时间差,相当于在每相绕组中通的电流在时间上有一个相位差,那么所有观众叠加起来总的效果,就是一波波的人浪在体育场看台上旋转起来,旋转的速度显然取决于每个人的“脉振”频率。这样解释你是否明白?
3 双旋转理论法
再看⑵式中那三个公式,把一个单相绕组产生的脉振磁势用积化和差公式分解成了两部分:

由式⑹可见,单相绕组产生的脉振磁势可以分解为两个幅值相等、转速相同、转向相反的圆形旋转磁势,它们的幅值均等于脉振磁动势最大幅值的一半,当相电流达到最大值时两个旋转矢量刚好都转到相轴位置。我们把这一分解方法称为“双旋转理论”法。其矢量图如图4所示

根据上述双旋转理论,把前述的三相脉振磁势的基波各自分解为正向和反向旋转的两个旋转磁势波,可得如图5所示的空间矢量图。

在图示瞬间,A相电流处于最大值,故A相的两个旋转磁势分量FA1′和FA1″都位于A相的相轴位置。由于B相电流滞后A相电流120º,也就是说,此时B相电流尚未达到最大值,而是再过120º后B相电流才达到最大值,因此此时B相的两个旋转矢量正处于如图FB1′和FB1″位置,它们各自再转过120º后才能到达B相相轴位置;同理C相的两个旋转矢量需要再转过240º才能到达C相相轴位置,此瞬间正处于如图FC1′和FC1″位置。从图5可以清楚地看到,三个反向旋转的磁势波FA1″、FB1″、FC1″互差120º,它们矢量相加等于0;而三个正向旋转的磁势波FA1′、FB1′、FC1′则同相位,它们矢量相加便是(3/2)FΦ1=F1,即三相合成磁势基波为幅值恒定的正向旋转的磁势波,其幅值为单相脉振磁势幅值的3/2倍。与前述两种方法得到的结论完全一致。
以上通过三种方法对三相绕组产生的磁势基波进行了分析,并得出了同一种结论:
①当三相对称绕组通以三相对称电流时,合成磁势的基波是一个幅值恒定的旋转磁势波,其幅值为每相脉振磁势波最大幅值的3/2倍。即:
F1=(3/2)•FΦ1=1.35•(W•Kdp1/p)•IΦ
这个结论可以推广到任意多相绕组。如果在对称m(m≥2)相绕组中通以对称m相交流电流,则产生的合成磁势基波也是一个圆形旋转磁势波,其幅值为每相脉振磁势波最大幅值的m/2倍。即:
F1=(m/2)•FΦ1=(2^½/π)•m•(W•Kdp1/p)•IΦ ⑺
②当某相电流达到正最大值时,合成磁势波的幅值正好处在该相绕组轴线上。
③合成磁动势波的转速,即同步转速为 ns=60f/p ( r / min )。
④合成磁势波的转向取决于三相电流的相序和三相绕组在空间的分布次序。合成磁势波从超前电流的相绕组轴线转向滞后电流的相绕组轴线;改变三相绕组中电流的相序就可以改变旋转磁势的转向。
4 多相对称绕组的谐波合成磁势
每相脉振磁势中除了基波外,还有3、5、7……等奇次谐波,按照基波磁势同样的分析方法,把三相绕组的谐波磁势相加,即可得到三相绕组的谐波合成磁势。强调说明的是,以下推导仅适用于三相整数槽绕组。三相绕组的υ次谐波合成磁势为:
fυ(θ,t)=fAυ(θ,t)+fBυ(θ,t)+fCυ(θ,t)
=FΦυ•cos(υ•θ)•cosωt+FΦυ•cos(υ•θ-120º)•cos(ωt-120º)+FΦυ•cos(υ•θ-240º)•cos(ωt-240º) ⑻
①当υ=3k(k=1,2,3…),即υ=3,9,15…时,⑻式运算的结果为0,即:
fυ(θ,t)=0 ⑼
说明对称三相绕组的合成磁势中不存在3次及3的整数倍次谐波磁势。
②当υ=6k+1(k=1,2,3…),即υ=7,13,19…时,⑻式运算的结果为:
fυ(θ,t)=(3/2)•FΦυ•cos(ωt-υ•θ) ⑽
说明上述次数的谐波磁势是一个与基波旋转方向相同(正向旋转),转速为ns/υ,幅值为(3/2)•FΦυ的旋转磁势波。
③当υ=6k-1(k=1,2,3…),即υ=5,11,17…时,⑻式运算的结果为:
fυ(θ,t)=(3/2)•FΦυ•cos(ωt+υ•θ) ⑾
说明上述次数的谐波磁势是一个与基波磁势旋转方向相反(反向旋转),转速为ns/υ,幅值为(3/2)•FΦυ的旋转磁势波。
以上分析表明,对称三相整数槽绕组合成磁势中,除基波磁势外,还含有υ=6k±1(k=1,2,3…,)次谐波磁势。
这个结论也可推广到任意多相对称绕组。普遍地说,当对称m(m≥2)相绕组中通以对称m相交流电流时,产生的合成磁势除基波磁势外,还含有下列次数的旋转高次谐波磁势。
υ=2mk±1 ⑿
其中k=1,2,3…;当上式中取“+”号时,谐波磁势的转向与基波转向相同;取“-”号时,谐波磁势的转向与基波转向相反,谐波磁势的转速为ns/υ。
需要特别解释一下这个推论,这个推论说明,对于多相整数槽绕组,其合成磁势中不存在偶次谐波磁势;也不存在次数小于2m-1及其整数次的奇次谐波磁势。例如,三相绕组的合成磁势中不含有3及3的整数倍次谐波;6相(2Y移30º)绕组的合成磁势中,不含有3次、5次和7次以及它们的整数倍次谐波磁势;12相(4Y移15º)绕组的合成磁势中,不含有3次、5次、7次、11次、13次、17次、19次以及它们的整数倍等次数的谐波磁势…,以此类推。由此可见,随着相数m的增大,所含的低次谐波次数也会大大减少,因此可以通过增加相数来消除绕组磁势的一些低次谐波,这就是采用6相、12相…等多相绕组可以减少谐波引起的转矩波动的理论依据。
5 单相绕组和三相绕组的磁势总结
通过两期讲解,详细分析了单相绕组和三相绕组产生的基波磁势和谐波磁势。分析过程比较复杂繁琐,为了便于比较和记忆,现把相关结论归纳总结如表1。

本期介绍了对称多相绕组通以对称多相交流电流时产生的磁势基波和谐波。需要再次强调的是,这两期的分析都是基于整数槽绕组,所通的电流也是基于正弦交流电流来分析的,因此得出的结论也只适用于整数槽绕组在正弦交流电流下产生的磁势,这一点务必要注意!后面将介绍多相对称绕组中所通电流不是正弦交流电流,以及通以非对称交流电流时产生的磁势。
上一篇:伺服电机经常会遇到的6个故障问题
下一篇:逆变器需要制动电阻吗,瞬间加速
- 热门资源推荐
- 热门放大器推荐
- 边缘计算主机盒选购指南:五大核心指标解析
- Arm AGI CPU 更多细节:台积电 3nm 制程、Neoverse V3 微架构
- Arm AGI CPU 重磅发布:构筑代理式 AI 云时代的芯片基石
- Arm 拓展其计算平台矩阵,首次跨足芯片产品
- 阿里达摩院发布RISC-V CPU玄铁C950,首次原生支持千亿参数大模型
- 边缘 AI 加速的 Arm® Cortex® ‑M0+ MCU 如何为电子产品注入更强智能
- 阿里达摩院发布玄铁C950,打破全球RISC-V CPU性能纪录
- VPU中的“六边形战士”:安谋科技Arm China发布“玲珑”V560/V760 VPU IP
- 利用锚定可信平台模块(TPM)的FPGA构建人形机器人安全
- LDK120M12R 1.2V低压降稳压器典型应用(可调版)电路
- EVB-UTC2000-DFP、EVK-UTC2000 评估套件基于 UTC2000 USB 3.0/2.0 Type-A,即插即用 Type-C DFP
- LTC3219 演示板、250mA 通用九通道 LED 驱动器
- DC919A-D,LTC2204 CMOS 输出演示板,直流输入,40Msps 16 位 ADC,DC
- AD8618ARZ-REEL 二阶低通滤波器运算放大器的典型应用电路
- 使用 NXP Semiconductors 的 PCA9511A 的参考设计
- LT3091MPDE 恒流恒压实验室电源的典型应用
- ADR392B 4.096 Vout 微功率、低噪声精密电压基准的典型应用
- LT3470HDDB 5V 降压转换器的典型应用电路
- 使用 Diodes Incorporated 的 AZ7042ZTR-E1 的参考设计

现代雷达系统的信号设计
MB47082PS

BFR340T






京公网安备 11010802033920号