燃料电池车是以氢气为燃料,氢气与大气中的氧气发生化学反应,通过电极将化学能转化为电能,以电能作为动力驱动汽车前进。燃料电池汽车具有高效率、无污染、零排放、无噪声等高科技优势,代表了未来汽车使用新型能源、先进科技以及追求环保的发展趋势,领导着汽车工业革命的新潮流。电机驱动系统是燃料电池车的心脏,直接影响着燃料电池车性能的优劣。数字信号处理器(DSP)的发展使各种先进的控制策略应用于电机驱动系统成为可能。模型参考自适应控制在电动汽车中的应用,能够提高电动汽车电机驱动系统性能,加速电动汽车产业的发展。
l 燃料电池车及其离散MRAC电机控制系统
本文所研究的燃料电池车电机是型号为XQ-5-5H的5 kW直流牵引电机,对电机的控制采用包括电流环和速度环的双闭环调速系统,其结构框图如图1所示。图中虚线方框内由以DSP为核心的控制系统来实现。本文主要探讨其软件的没计。

对双闭环调速系统的设计在此不做详细讨论,这里只给出设计结果。对电流的调节采用传统的PI调解,其传递函数为:

式中:K为PI调节器比例部分的放大系数;τ为积分时间常数。
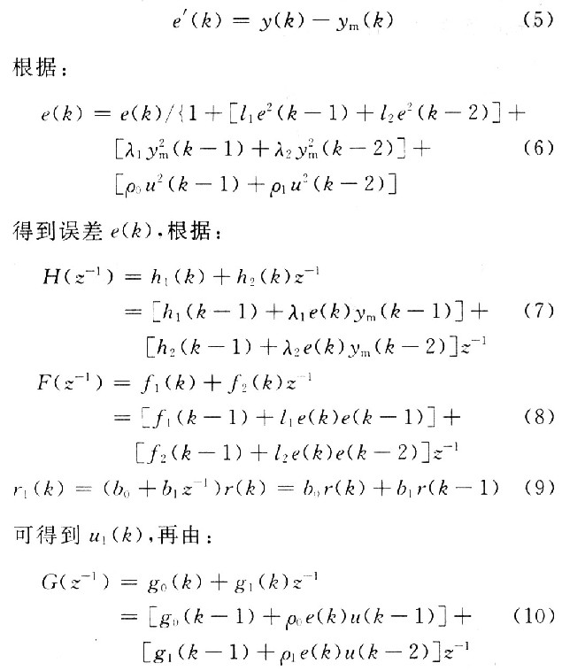
对速度的调节采用自适应调解方法,为了便于计算机实现,采用离散模型参考自适应控制,结构图如图2所示。对于其具体说明参见文献。

2 控制系统软件设计
2.1 硬件系统介绍
基于FMS320LF2407A的燃料电池车电机驱动控制系统硬件系统方框图如图3所示,主要包括给定信号检测电路、电流检测电路、速度检测电路、PWM输出电路和DSP外部电路。

2.2 主程序设计
主程序包括初始化程序和循环等待2部分。系统上电或复位后主程序自动运行,它首先将系统初始化,主要包括硬件初始化即根据要求给各种硬件如时钟及看门狗模块、I/O模块、定时器、SCI模块、ADC模块、定时器、控制寄存器等赋值,以便各模块正常工作,以及程序全局变量初始化,主要包括电流PI调节、转速自适应控制调节参数初始化以及其他全局变量初始化,然后开中断并等待。
2.3 PWM中断处理程序设计
采用定时器周期中断标志启动A/D转换,当T1下溢时启动A/D转换,所检测的电流经处理后接模/数转换器的ADCIN00引脚,当转换完成后,中断标志位都被设置为1,则在A/D中断服务程序中将转换结果读出,完成1次A/D采样。转换结束后申请PWM中断,PWM中断完成主要的控制功能,流程图如图4所示。由于电机控制系统的机械时间常数远大于系统的电气时间常数,系统的速度环控制周期可比电流环控制周期大。该系统在每个PWM周期中都进行一次电流采样和PI调节,因此电流采样周期与PWM周期相同,可以实现实时控制,而速度环控制周期选为每100个PWM周期,对速度进行1次调节。在每个电流控制周期,被QEP单元计数的脉冲数被累加到变量speedcount中,变量speedflag从初始值speedstep(100)开始减1直到等于0,此时读取100个电流控制周期(1个速度控制周期)的总脉冲数进行速度计算,并将speedcount清零,将变量speedflag赋初始值,开始下一次速度脉冲计数。
2.4 电流PI调节器程序设计
式(1)给出的调节器为连续传递函数,为了便于计算机的实现,使用防积分饱和的PI调节器,其算法改进为:

式中:KI=KP/τ;KC=KI/KP=T/τ,根据防饱和的PI调节器算法确定系统流程图如图5所示。

2.5 速度自适应程序设计
速度自适应调节算法在图2中已经给出,该算法为离散自适应算法,可直接用于程序设计。离散模型参考自适应分为参考模型和被控对象两部分,所以首先讨论参考模型的实现。对于二阶参考模型其离散方程可表示为:

这样可以得到参考模型输出。被控对象速度输出y(k)由速度检测电路检测,可得预报误差:

可得u(k)。根据以上分析编写速度自适应控制程序,流程图如图6所示。

3 结语
自适应控制理论在燃料电池车电机控制系统中的应用,对于提高电动汽车的驱动性能具有较好的效果。本文探讨了在电机DSP控制系统中,离散模型参考自适应算法的实现,对于各种先进的控制策略在电动汽车中的应用进行了积极的探索,对于推动电动汽车产业的发展具有重要意义。
上一篇:什么是槽满率?提高槽满率究竟对电机有何影响呢?
下一篇:NCV70522在汽车自适应前照灯系统(AFS)应用中堵转检测的实现
推荐阅读最新更新时间:2026-03-24 11:59
- 边缘计算主机盒选购指南:五大核心指标解析
- Arm AGI CPU 更多细节:台积电 3nm 制程、Neoverse V3 微架构
- Arm AGI CPU 重磅发布:构筑代理式 AI 云时代的芯片基石
- Arm 拓展其计算平台矩阵,首次跨足芯片产品
- 阿里达摩院发布RISC-V CPU玄铁C950,首次原生支持千亿参数大模型
- 边缘 AI 加速的 Arm® Cortex® ‑M0+ MCU 如何为电子产品注入更强智能
- 阿里达摩院发布玄铁C950,打破全球RISC-V CPU性能纪录
- VPU中的“六边形战士”:安谋科技Arm China发布“玲珑”V560/V760 VPU IP
- 利用锚定可信平台模块(TPM)的FPGA构建人形机器人安全
- REF196 精密微功率、低压差堆叠电压基准的典型应用电路
- LTC4367IMS8 用于滞后调节的过压电源控制器的典型应用
- CLRC663非接触式读写器IC的典型应用
- 使用 ON Semiconductor 的 CS-5621 的参考设计
- RSO-0515S 15V、67mA输出DC/DC转换器典型应用电路
- NCP51200 3 Amp VTT 终端稳压器 DDR1、DDR2、DDR3、LPDDR3、DDR4 的典型应用
- LR645大电流SMPS启动电路典型应用
- ADR420 可编程电流源的典型应用
- DC417B,使用 LT1806CS8 多尺寸单运算放大器原型的演示板
- DM300019,用于评估 dsPIC30F 和 dsPIC33F MCU 系列器件的 dsPICDEM 入门开发板
- 请教下用RIL来处理来电问题,想阻止系统接受RIL_NOTIFY_RING和RIL_NOTIFY_CALLERID有办法么,然后自己处理这几个消息
- 微控制器的灾难——i.MX 6UL/6ULL核心模块MYC-Y6ULX评测3
- 【GD32L233C-START评测】5.USB自定义HID设备点灯
- 【UFUN学习】不玩个痛快如何对得起ufun这么帅的板子!!!——第一篇
- 液晶画面滚动起来!
- ST败笔,STM8S与STM8L封装引脚不一致
- 求助: 红外温度传感器
- 【R7F0C809】DIY第一篇--开发板靓照分享
- TI’s “Jacinto 6 Eco” drives outstanding performance
- pybCN 的 UF2 bootloader

TI_DSP_信号链优化指南
DSP28335的双闭环buck控制电路
CVPR 2023论文汇总:机器人技术 Robotics
现代雷达系统的信号设计
BFR340T






京公网安备 11010802033920号