一、背景介绍传统燃油汽车存在着高能耗、温室气体排放、发动机噪声污染等问题,对环境影响很大。在能源短缺、环境污染严重的情况下,节约能源、减少排放,用清洁能源替代传统化石燃料迫在眉睫。清洁能源(氢气、高级醇类、甲烷等)和能量转换器等常见的节能手段近些年都取得了很多研究成果。锂能作为一种很有前途的储能方式,也在逐步完善,逐渐在汽车行业占据重要地位。锂电储能具有能量密度高、循环性能好、节能环保等优点。作为单体电池,软包装锂离子电池具有优异的储能效果,并且广泛应用于电动汽车、储能电站等领域。但是,如果在充放电过程中散热不及时,电池可能会出现膨胀、漏电等现象,存在自燃等事故的危险。因此,有必要对锂电池进行热管理。固液相变材料具有成本低、腐蚀弱、相变潜热高等优点。通过相变过程,可以储存和释放能量,在电池热管理系统中具有广阔的应用前景。相变材料的存在会使电池组的温度分布更均匀,减少过热现象。然而,纯相变材料的导热系数普遍较低。近年来,金属有机骨架(MOF)受到了广泛的关注,它具有比表面积大、孔隙率高的优点,是一种有效的相变材料封装载体。MOF材料是制备多孔碳的理想模板,将MOF衍生的多孔碳与碳基材料复合作为相变材料载体是优化复合材料的导热系数的一种可行的方法。但是目前关于这方面的报道较少,目前新能源行业飞速发展,开发一种用于新能源电池方面的复合相变热管理材料迫在眉睫。
二、成果掠影
近期,左红艳教授团队在用于新能源电池热管理的复合相变材料方向取得新进展。团队设计了一种用于电池热管理的新型复合相变材料,通过对月桂酸(LA)的吸附,可以得到形状稳定的LA/EG@HPC复合相变材料。载体的BET表面积为15.9326 m2/g,孔径分布以中孔和大孔为主。载体的三维结构可以为LA提供连续的分层换热网络通道。复合相变材料的负荷率可达70%,导热系数为2.546 W/(m.K),是纯LA的8.4倍。此外,目前用于相变材料载体的MOF材料都是通过反应釜合成的。该团队采用的热溶剂法可大大提高单次合成效率,操作简便。实验结果表明复合相变材料在电池热管理方面表现出优异的性能。在不同速率的放电测试中,电池包的最高温度比没有热管理的电池包降低了13.4℃,电池温差降低了1-1.5℃,工作温度远低于安全温度50℃。循环试验中,DST条件下复合相变材料组温度波动降低45%,高功率条件下电池温度保持在安全温度以下,具有显著的热管理效果。该研究成果为新能源电池热管理材料提供新的研究思路。研究成果以“EG@Bi-MOF derived porous carbon/lauric acid composite phase change materials for thermal management of batteries”为题发表于《Energy》。
3图文导读
图1.EG@HPC的制备示意图。

图2.不同样品的XRD图谱。
图3.LA、HPC、EG@HPC、LA/EG@HPC样品的FTIR图谱。
图4.样品的SEM图谱,(a) Bi-MOF (b) HPC (c) EG@HPC (d) 60wt% LA/EG@HPC (e) 65wt% LA/EG@HPC (f) 70wt% LA/EG@HPC。

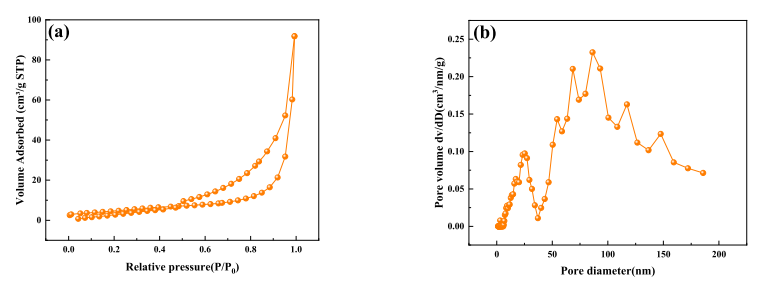
图5.(a) EG@HPC的N2下的吸附解吸等温线,(b)对应的孔径分布图。

图6.LA、EG@HPC、LA/EG@HPC样品的TG曲线。

图7.LA和LA/EG@HPC样品的DSC曲线。

图8.LA、LA/HPC和LA/EG@HPC样品的导热系数。

图9.电池热管理装置示意图。

图10.电池放电温度变化曲线(a)空白对照组2C速率、(b)空白对照组3C速率、(c) CPCM组2C速率、(d) CPCM组3C速率。

图11.电池放电温度的最大最小值以及温差分布。

图12.DST条件下的温度波动(a)空白对照组;(b)复合材料对照组。

图13.恒定充放电速率循环下电池温度的变化。
上一篇:干货分享 | 常用车载总线CAN、CANFD、LIN、FlexRay 和 Ethernet概述
下一篇:科普|汽车毫米波雷达的规定和标准 雷达设备产品 无线电设备技术
- 热门资源推荐
- 热门放大器推荐
- 边缘计算主机盒选购指南:五大核心指标解析
- Arm AGI CPU 更多细节:台积电 3nm 制程、Neoverse V3 微架构
- Arm AGI CPU 重磅发布:构筑代理式 AI 云时代的芯片基石
- Arm 拓展其计算平台矩阵,首次跨足芯片产品
- 阿里达摩院发布RISC-V CPU玄铁C950,首次原生支持千亿参数大模型
- 边缘 AI 加速的 Arm® Cortex® ‑M0+ MCU 如何为电子产品注入更强智能
- 阿里达摩院发布玄铁C950,打破全球RISC-V CPU性能纪录
- VPU中的“六边形战士”:安谋科技Arm China发布“玲珑”V560/V760 VPU IP
- 利用锚定可信平台模块(TPM)的FPGA构建人形机器人安全
- LTC2172CUKG-12、12 位、65Msps 低功耗四通道 ADC 的典型应用电路
- 使用 ROHM Semiconductor 的 BD5339 的参考设计
- 使用 Diodes Incorporated 的 PT8A3517 的参考设计
- LT5527 400MHz 至 3.7GHz 高信号电平下变频混频器的典型应用
- AD5340 并行接口、单电压输出、12 位 DAC 的典型应用
- 30W、-27V、5.8V、5.8V、15V、24V、33V交流转直流多路输出电源
- OP213FSZ-REEL7 低噪声运算放大器电压基准的典型应用
- LT3579/LT3579-1 演示板,升压 / 反相 DC/DC 转换器
- L7815A 光控制器稳压器的典型应用 (Vo(min) = Vxx + VBE)
- 具有关断功能的 LT1086CT-5 5V 稳压器的典型应用

现代雷达系统的信号设计
LMP8671MA/NOPB

BFR340T






京公网安备 11010802033920号